精英家教网 > 高中数学 > 题目详情

函数的部分图象如图,将的图象向右平移个单位长得到函数的图象,则的单调增区间为(    )

A.               B. 

C.                 D. 

 

【答案】

C

【解析】

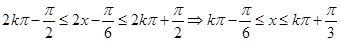
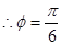
试题分析:由图象知,,

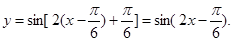
的图象平移个单位后的解析式为

则由:.

考点:函数的性质,图象的平移.

 

练习册系列答案
相关习题

科目:高中数学 来源: 题型:

精英家教网已知函数f(x)=Acos(ωx+φ)(A>0,ω>0,0<φ<π)为奇函数,该函数的部分图象如图所示,△EFG是边长为2的等边三角形,则f(1)的值为(  )
A、-
3
2
B、-
6
2
C、
3
D、-
3

查看答案和解析>>

科目:高中数学 来源: 题型:

(2012•湖南)函数f(x)=sin (ωx+φ)的导函数y=f′(x)的部分图象如图所示,其中,P为图象与y轴的交点,A,C为图象与x轴的两个交点,B为图象的最低点.
(1)若φ=
π
6
,点P的坐标为(0,
3
3
2
),则ω=
3
3

(2)若在曲线段
ABC
与x轴所围成的区域内随机取一点,则该点在△ABC内的概率为
π
4
π
4

查看答案和解析>>

科目:高中数学 来源: 题型:

(2012•江西模拟)已知函数f(x)=Acos(ωx+φ)(A>0,ω>0,0<φ<π)为奇函数,该函数的部分图象如图所示,△EFG是边长1为的等边三角形,则f(1)的值为(  )

查看答案和解析>>

科目:高中数学 来源: 题型:

已知函数f(x)=Acos(ωx+α)(A>0,ω>0,0<α<π)为奇函数,该函数的部分图象如图所示,△EFG是边长为2的等边三角形,则f(1)的值为
-
3
-
3

查看答案和解析>>

科目:高中数学 来源: 题型:

函数y=sin(ωx+?)(ω>0,0<?<π)为偶函数,该函数的部分图象如图所示,A、B分别为最高点与最低点,并且|AB|=2
2
,则该函数图象的一条对称轴方程为(  )

查看答案和解析>>

同步练习册答案