精英家教网 > 高中数学 > 题目详情
已知an为等差数列,a1+a7=26,a6=7,则前9项的和S9等于   
【答案】分析:a1+a7=26,由等差数列的性质,可得a4=13,再根据性质得到a4+a6=a1+a9=20,最后由前n项和公式求解.
解答:解:已知an为等差数列且a1+a7=26
∴a4=13,a6=7
∴a4+a6=a1+a9=20
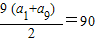
∴S9=
故答案为:90
点评:本题主要考查等差数的性质和前n和公式的应用.
练习册系列答案
相关习题

科目:高中数学 来源: 题型:

11、已知{an}为等差数列,Sn为{an}的前n项和,n∈N*,若a3=16,S20=20,则S10值为
110

查看答案和解析>>

科目:高中数学 来源: 题型:

已知{an}为等差数列,a3=7,a1+a7=10,Sn为其前n项和,则使得Sn达到最大值的n等于(  )

查看答案和解析>>

科目:高中数学 来源: 题型:

(2013•威海二模)已知{an}为等差数列,Sn为其前n项和,且2Sn=an+2n2
(Ⅰ)求an,Sn
(Ⅱ)若ak,a2k-2,a2k+1成等比数列,求k的值及公比.

查看答案和解析>>

科目:高中数学 来源: 题型:

已知{an}为等差数列,若
a12a13
<-1
,且它的前n项和Sn有最大值,那么Sn取得最小正值时,n的值为
24
24

查看答案和解析>>

科目:高中数学 来源: 题型:

已知{an}为等差数列,且a4=14,a5+a8=48.
(1)求{an}的通项公式;
(2)设Sn是等比数列{bn}的前n项和,若b1=a1,且3S1,2S2,S3成等差数列,求S4

查看答案和解析>>

同步练习册答案