精英家教网 > 高中数学 > 题目详情

已知A(0,3),B(-1,0),C(3,0),试求D点坐标.使四边形ABCD为等腰梯形.

答案:略
解析:

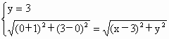
解 设所求D点的坐标为(xy),由ADBC|AB|=|CD|

(不合题意)

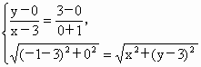
再由ABCD|BC|=|AD|,得

(不合题意)

∴所求D点的坐标为(23)


练习册系列答案
相关习题

科目:高中数学 来源: 题型:

已知a=0.20.3,b=log0.23,c=log0.24,则(  )

查看答案和解析>>

科目:高中数学 来源: 题型:

已知
a
=(0,3)
b
=(-4, 4)
,则向量
a
b
的夹角为(  )

查看答案和解析>>

科目:高中数学 来源:2013届湖南省华容县高二第一学期期末考试理科数学试卷 题型:解答题

(本小题满分13分)已知A(0,2,3),B(-2,1,6),C(1,-1,5)

(1)求

(2)求以为边的平行四边形的面积;

 

查看答案和解析>>

科目:高中数学 来源:不详 题型:单选题

已知
a
=(0,3)
b
=(-4, 4)
,则向量
a
b
的夹角为(  )
A.
π
3
B.
π
4
C.
3
D.
4

查看答案和解析>>

科目:高中数学 来源: 题型:

已知A(0,3),B(-1,0),C(3,0),求D点的坐标,使四边形ABCD为直角梯形(A、B、C、D按逆时针方向排列).

查看答案和解析>>

同步练习册答案