精英家教网 > 高中数学 > 题目详情
已知等差数列{an}为递增数列,满足,在等比数列{bn}中,b3=a2+2,b4=a3+5,b5=a4+13.
(Ⅰ)求数列{bn}的通项公式bn
(Ⅱ)若数列{bn}的前n项和为Sn,求证:数列{}是等比数列.
【答案】分析:(Ⅰ)根据,利用等差数列的性质,可得a3=5,利用b3=a2+2,b4=a3+5,b5=a4+13,可求等差数列{an}的公差,等比数列{bn}的公比,从而可得数列{bn}的通项公式bn
(Ⅱ)Sn=,从而,利用等比数列的定义可得结论.
解答:(Ⅰ)解:∵


∴a3=5
设等差数列{an}的公差为d,等比数列{bn}的公比为q,则
∵b3=a2+2,b4=a3+5,b5=a4+13,
=(a2+2)(a4+13)
∴100=(7-d)(18+d)
∴d2+11d-26=0
∴d=2或d=-13(数列递增,舍去)
∴b3=a2+2=5,b4=a3+5=10,
∴q=2
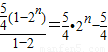
∴bn=b3qn-3=5•2n-3
(Ⅱ)证明:Sn=


∴数列{}是以为首项,2 为公比的等比数列.
点评:本题考查等差数列与等比数列的综合,考查等比数列的通项,等比数列关系的证明,确定公比是关键.
练习册系列答案
相关习题

科目:高中数学 来源: 题型:

已知等差数列{an},公差d不为零,a1=1,且a2,a5,a14成等比数列;
(1)求数列{an}的通项公式;
(2)设数列{bn}满足bn=an3n-1,求数列{bn}的前n项和Sn

查看答案和解析>>

科目:高中数学 来源: 题型:

已知等差数列{an}中:a3+a5+a7=9,则a5=
 

查看答案和解析>>

科目:高中数学 来源: 题型:

已知等差数列{an}满足:a5=11,a2+a6=18.
(1)求{an}的通项公式;
(2)若bn=an+q an(q>0),求数列{bn}的前n项和Sn

查看答案和解析>>

科目:高中数学 来源: 题型:

已知等差数列{an}满足a2=0,a6+a8=-10
(1)求数列{an}的通项公式;     
(2)求数列{|an|}的前n项和;
(3)求数列{
an2n-1
}的前n项和.

查看答案和解析>>

科目:高中数学 来源: 题型:

精英家教网已知等差数列{an}中,a4a6=-4,a2+a8=0,n∈N*
(Ⅰ)求数列{an}的通项公式;
(Ⅱ)若{an}为递增数列,请根据如图的程序框图,求输出框中S的值(要求写出解答过程).

查看答案和解析>>

同步练习册答案