精英家教网 > 高中数学 > 题目详情
正项数列{an}中,前n项和为Sn,且a1=2,且
(1)求数列{an}的通项公式;
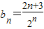
(2)设,Tn=b1+b2+…+bn,证明
【答案】分析:(1)根据an=Sn-Sn-1消掉所给等式中的an,变为Sn与Sn-1的递推式,通过变形可判断是首项为公差为的等差数列,从而可求Sn,再代入可求得an,注意验证n=1是否成立.
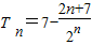
(2)由(1)表示出bn,利用错位相减法可求得Tn,根据其表达式易证Tn<7,再判断{Tn}单调性,由单调性可证得Tn
解答:(1)解:由,得


是首项为公差为的等差数列,∴,∴
,对n=1也成立,
∴an=4n-2;
(2)证明:


两式相减,得=
所以

下面证明
,∴Tn+1>Tn,∴{Tn}单调递增,


点评:本题考查数列递推式、等差数列通项公式及数列求和,若{an}为等差数列,{bn}为等比数列,则{anbn}的前n项和宜用错位相减法求解.
练习册系列答案
相关习题

科目:高中数学 来源: 题型:

正项数列{an}中,前n项和为Sn,且a1=2,且an=2
2Sn-1
+2(n≥2)

(1)求数列{an}的通项公式;
(2)设bn=
an+8
2n+1
,Tn=b1+b2+…+bn,证明
5
2
Tn<7

查看答案和解析>>

科目:高中数学 来源: 题型:

已知正项数列{an}中,a1=1,an+1=1+
an1+an
(n∈N*)
.用数学归纳法证明:anan+1(n∈N*)

查看答案和解析>>

科目:高中数学 来源: 题型:

已知在正项数列{an}中,a1=1,前n项的和Sn满足:2Sn=an+
1
an
.则此数列的通项公式an=
n
-
n-1
(n∈N*)
n
-
n-1
(n∈N*)

查看答案和解析>>

科目:高中数学 来源: 题型:

已知正项数列{an}中a1=
1
2
,函数f(x)=
2x
1+x

(Ⅰ)若正项数列{an}满足an+1=f(an)(n≥1且n∈N*),试求出a2,a3,a4.由此归纳出通项an,并证明;
(Ⅱ)若正项数列{an}满足an+1≤f(an)(n≥1且n∈N*),数列{bn}满足bn=
an
2n+1
,其和为Tn,求证:Tn
1
2
-
1
1+2n

查看答案和解析>>

科目:高中数学 来源: 题型:

已知在正项数列{an}中,Sn表示前n项和且2
Sn
=an+1,则an=
 

查看答案和解析>>

同步练习册答案