精英家教网 > 高中数学 > 题目详情
已知双曲线的一条渐近线方程是,它的一个焦点与抛物线y2=16x的焦点相同.则双曲线的方程为   
【答案】分析:先由双曲线的渐近线方程为y=±x,易得,再由抛物线y2=16x的焦点为(4,0)可得双曲线中c=4,最后根据双曲线的性质c2=a2+b2列方程组,解得a2、b2即可.
解答:解:由双曲线渐近线方程可知
因为抛物线的焦点为(4,0),所以c=4②
又c2=a2+b2
联立①②③,解得a2=4,b2=12,
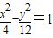
所以双曲线的方程为
故答案为
点评:本题主要考查双曲线和抛物线的标准方程及几何性质.
练习册系列答案
相关习题

科目:高中数学 来源: 题型:

 

 

已知双曲线9y2一m2x2=1(m>o)的一个顶点到它的一条渐近  线的距离为,则m=

      A.1                         B.2

      C.3                         D.4

查看答案和解析>>

科目:高中数学 来源:2012-2013学年山东省高三高考压轴理科数学试卷(解析版) 题型:选择题

已知抛物线y2=4x的准线过双曲线=1(a>0,b>0)的左顶点,且此双曲线的一条渐

近线方程为y=2x,则双曲线的焦距等于 (  ).

A.             B.2             C.             D.2

 

查看答案和解析>>

科目:高中数学 来源: 题型:

已知双曲线的一条渐近方程为,两条准线的距离为1。

   (1)求双曲线的方程;

(2)直线l过坐标原点O且和双曲线交于两点M,N,点P为双曲线上异于M,N的一点,且直线PM,PN的斜率均存在,求kPM?kPN­的值。

查看答案和解析>>

科目:高中数学 来源:浙江省镇海中学2010届高考模拟试题理 题型:选择题

 已知分别是双曲线

的左,右焦点。过点与双曲线的一条渐

近线平行的直线交双曲线另一条渐近线于点,且

,则双曲线的离心率为(   )

(A)         (B)      

(C)              (D)

 

查看答案和解析>>

同步练习册答案