精英家教网 > 高中数学 > 题目详情
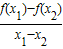
定义在R上的偶函数f(x),对任意x1,x2∈[0,+∞)(x1≠x2),有<0,则( )
A.f(3)<f(-2)<f(1)
B.f(1)<f(-2)<f(3)
C.f(-2)<f(1)<f(3)
D.f(3)<f(1)<f(-2)
【答案】分析:确定函数在[0,+∞)上单调减,结合函数是偶函数,即可得到结论.
解答:解:由题意,∵对任意x1,x2∈[0,+∞)(x1≠x2),有<0,
∴函数在[0,+∞)上单调减
∴f(3)<f(2)<f(1)
∵函数是偶函数,∴f(-2)=f(2)
∴f(3)<f(-2)<f(1)
故选A.
点评:本题考查函数单调性与奇偶性的结合,确定函数的单调性是关键.
练习册系列答案
相关习题

科目:高中数学 来源: 题型:

定义在R上的偶函数f(x)是最小正周期为π的周期函数,且当x∈[0,
π
2
]
时,f(x)=sinx,则f(
3
)
的值是
 

查看答案和解析>>

科目:高中数学 来源: 题型:

7、定义在R上的偶函数f(x),当x≥0时有f(2+x)=f(x),且x∈[0,2)时,f(x)=2x-1,则f(2010)+f(-2011)=(  )

查看答案和解析>>

科目:高中数学 来源: 题型:

定义在R上的偶函数f(x),满足f(x+2)=f(x),且f(x)在[-3,-2]上是减函数,若α、β是锐角三角形中两个不相等的锐角,则(  )

查看答案和解析>>

科目:高中数学 来源: 题型:

定义在R上的偶函数f(x)满足f(x+1)=-f(x)且f(x)在[-1,0]上是增函数,给出下列四个命题:
①f(x)是周期函数;
②f(x)的图象关于x=l对称;
③f(x)在[l,2l上是减函数;
④f(2)=f(0),
其中正确命题的序号是
①②④
①②④
.(请把正确命题的序号全部写出来)

查看答案和解析>>

科目:高中数学 来源: 题型:

精英家教网已知定义在R上的偶函数f(x).当x≥0时,f(x)=
-x+2x-1
且f(1)=0.
(Ⅰ)求函数f(x)的解析式并画出函数的图象;
(Ⅱ)写出函数f(x)的值域.

查看答案和解析>>

同步练习册答案