精英家教网 > 高中数学 > 题目详情
的单调递减区间   
【答案】分析:由对数的真数大于0,解不等式>0,得函数的定义域为{x|-+k<x<+k,(k∈Z)},再由余弦函数单调减区间的公式,解关于x的不等式即可得到y=lgcos(-2πx)的单调递减区间.
解答:解:∵y=
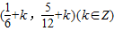
>0,得(k∈Z),
解之得-+k<x<+k(k∈Z),
再令2kπ<
,(k∈Z)
∴函数y=lgcos(-2πx)的单调递减区间
故答案为:
点评:本题给出复合型三角函数,求函数的单调减区间.着重考查了三角函数的图象与性质、对数函数的性质和复合函数单调性法则等知识,属于中档题.
练习册系列答案
相关习题

科目:高中数学 来源: 题型:

已知函数f(x)=sin(2x+
π
6
)+sin(2x-
π
6
)
+cos2x+a(a∈R,a为常数).
(Ⅰ)求函数的最小正周期;
(Ⅱ)求函数的单调递减区间;
(Ⅲ)若x∈[0,
π
2
]
时,f(x)的最小值为-2,求a的值.

查看答案和解析>>

科目:高中数学 来源: 题型:

函数f(x)=
xlnx
的单调递减区间是
 

查看答案和解析>>

科目:高中数学 来源: 题型:

设函数y=f(x)在R内有定义,对于给定的正数K,定义函数fx(x)=
f(x),f(x)≤K
K,f(x)>K
,取函数f(x)=2-|x|.当K=
1
2
时,函数fK(x)的单调递减区间为(  )

查看答案和解析>>

科目:高中数学 来源: 题型:

函数y=2 x2+4x+1的单调递减区间是
(-∞,-2)
(-∞,-2)

查看答案和解析>>

科目:高中数学 来源: 题型:

函数y=log2(2cosx-1)的单调递减区间为
[2kπ,2kπ+
π
3
),k∈Z
[2kπ,2kπ+
π
3
),k∈Z

查看答案和解析>>

同步练习册答案