精英家教网 > 高中数学 > 题目详情

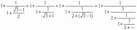
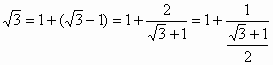
设a1,a2,a3,…,an,…均为自然数,称为无穷连分数.

例如:,这里a1=1,an=2(n∈N*,n≥2).

请你与上式类似地将也写成无穷连分数,并写出a2n

答案:
解析:

  解:

  =

  同时有a1=a2n=1,a2n+1=2(n∈N*).

  点评:对有些提供范例的推理题,解答时可根据所给的信息与所求的问题的相似性,运用类比的方法,仿照范例,使问题得到解决.这种方法就是类比法.另外,在解这些信息题时,也可把新信息的问题类比于旧的问题的解决方法,依照它使新信息中的问题得到解决.


练习册系列答案
相关习题

科目:高中数学 来源: 题型:

设a1,a2,a3成等比数列,其公比为2,则
a2a1+a3
的值为
 

查看答案和解析>>

科目:高中数学 来源: 题型:

设A1,A2,A3,A4 是平面上给定的4个不同点,则使
MA1
+
MA2
+
MA3
+
MA4
=
0
 成立的点M 的个数为(  )
A、0B、1C、2D、4

查看答案和解析>>

科目:高中数学 来源: 题型:

设A1,A2,A3,A4,A5是平面上给定的5个不同点,则使
MA1
+
MA2
+
MA3
+
MA4
+
MA5
=
0
成立的点M的个数为(  )
A、0B、1C、5D、10

查看答案和解析>>

科目:高中数学 来源: 题型:

设A1,A2,A3,A4,A5是空间中给定的5个不同的点,则使
MA1
+
MA2
+
MA3
+
MA4
+
MA5
=
0
成立的点M的个数为
1
1
个.

查看答案和解析>>

科目:高中数学 来源: 题型:

选作题,本题包括A、B、C、D四小题,请选定其中两题,并在相应的答题区域内作答.若多做,则按作答的前两题评分.解答时应写出文字说明、证明过程或演算步骤.
A.(几何证明选讲)
如图,AB是半圆的直径,C是AB延长线上一点,CD切半圆于点D,CD=2,DE⊥AB,垂足为E,且E是OB的中点,求BC的长.
B.(矩阵与变换)
已知矩阵
12
2a
的属于特征值b的一个特征向量为
1
1
,求实数a、b的值.
C.(极坐标与参数方程)
在平面直角坐标系xOy中,已知点A(1,-2)在曲线
x=2pt2
y=2pt
(t为参数,p为正常数),求p的值.
D.(不等式选讲)
设a1,a2,a3均为正数,且a1+a2+a3=1,求证:
1
a1
+
1
a2
+
1
a3
≥9

查看答案和解析>>

同步练习册答案