如图,在直三棱柱ABC-A1B1C1中,点M是A1B的中点,点N是B1C的中点,连接MN
![]()
(Ⅰ)证明:MN//平面ABC;
(Ⅱ)若AB=1,AC=AA1=
,BC=2,求二面角A—A1C—B的余弦值的大小
(Ⅰ)详见解析;(Ⅱ)
;
【解析】
试题分析:(Ⅰ)主要利用线线平行可证线面平行;(Ⅱ)通过作平行线转化到三角形内解角;当然也可建系利用空间向量来解;
试题解析:(Ⅰ)证明:连接AB1,
∵四边形A1ABB1是矩形,点M是A1B的中点,
∴点M是AB1的中点;∵点N是B1C的中点,
∴MN//AC,∵MN
平面ABC,AC
平面ABC,
∴MN//平面ABC 6分
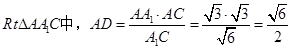
(Ⅱ)解 :(方法一)如图,作
,交
于点D,
![]()
由条件可知D是
中点,连接BD,∵AB=1,AC=AA1=
,BC=2,
∴AB2+AC2= BC2,∴AB⊥AC,
∵AA1⊥AB,AA1∩AC=A,∴AB⊥平面![]()
∴AB⊥A1C, ∴A1C⊥平面ABD,∴
∴
为二面角A—A1C—B的平面角,在
,
,
,
在等腰
中,
为
中点,
,
∴
中,
,
中,
,
∴二面角A—
—B的余弦值是
12分
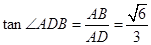
(方法二)
三棱柱
为直三棱柱,
∴
,
,
,
,
∴
,∴![]()
如图,建立空间直角坐标系,
![]()
则A(0,0,0),
B(0,1,0), C(
,0,0),
A1(0,0,
),
如图,可取
为平面
的法向量,
设平面
的法向量为
,
则
,
,
则由![]()
又
,不妨取m=1,则
,
可求得
,
12分
考点:立体几何线平行的证明、二面角的求解,考查学生的空间想象能力和空间向量的使用
科目:高中数学 来源: 题型:
如图,在直三棱柱AB-A1B1C1中.∠ BAC=90°,AB=AC=AA1 =1.D是棱CC1上的一P是AD的延长线与A1C1的延长线的交点,且PB1∥平面BDA.
(I)求证:CD=C1D:
(II)求二面角A-A1D-B的平面角的余弦值;
(Ⅲ)求点C到平面B1DP的距离.
查看答案和解析>>
科目:高中数学 来源:2011年四川省招生统一考试理科数学 题型:解答题
(本小题共l2分)
如图,在直三棱柱AB-A1B1C1中.∠ BAC=90°,AB=AC=AA1 =1.D是棱CC1上的一[来源:]
P是AD的延长线与A1C1的延长线的交点,且PB1∥平面BDA.
(I)求证:CD=C1D:
(II)求二面角A-A1D-B的平面角的余弦值;
(Ⅲ)求点C到平面B1DP的距离.
![]()
查看答案和解析>>
科目:高中数学 来源:2011年高考试题数学理(四川卷)解析版 题型:解答题
(本小题共l2分)
如图,在直三棱柱AB-A1B1C1中.∠ BAC=90°,AB=AC=AA1 =1.D是棱CC1上的一
P是AD的延长线与A1C1的延长线的交点,且PB1∥平面BDA.
(I)求证:CD=C1D:
(II)求二面角A-A1D-B的平面角的余弦值;
(Ⅲ)求点C到平面B1DP的距离.
![]()
查看答案和解析>>
科目:高中数学 来源:四川省高考真题 题型:解答题
查看答案和解析>>
科目:高中数学 来源: 题型:
如图,在直三棱柱AB-A1B1C1中.∠ BAC=90°,AB=AC=AA1 =1.D是棱CC1上的一点,P是AD的延长线与A1C1的延长线的交点,且PB1∥平面BDA.
(I)求证:CD=C1D:
(II)求二面角A-A1D-B的平面角的余弦值;
(Ⅲ)求点C到平面B1DP的距离.
![]()
查看答案和解析>>
湖北省互联网违法和不良信息举报平台 | 网上有害信息举报专区 | 电信诈骗举报专区 | 涉历史虚无主义有害信息举报专区 | 涉企侵权举报专区
违法和不良信息举报电话:027-86699610 举报邮箱:58377363@163.com