精英家教网 > 高中数学 > 题目详情
已知各项都不相等的等差数列{an}的前六项和为60,且a6为a1和a21的等比中项.
(1)求数列{an}的通项公式
(2)若数列{bn}满足bn+1-bn=an(n∈N*),且b1=3,求数列的前n项Tn
【答案】分析:(I)设等差数列{an}的公差为d,由题意建立方程组,求得d和a1,进而根据等差数列的通项公式和求和公式分别求得an及前n项和Sn
(II)根据(I)中的an和b1,根据bn=(bn-bn-1)+(bn-1-bn-2)+…(b2-b1)+b1,进而求得bn,再利用裂项法求得
解答:解:(I)设等差数列{an}的公差为d,

解得
∴an=2n+3.

(II)由bn+1-bn=an,∴bn-bn-1=an-1(n≥2,n∈N*).
当n≥2时bn=(bn-bn-1)+(bn-1-bn-2)+…(b2-b1)+b1
=an-1+an-2++a1+b1=(n-1)(n-1+4)+3
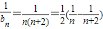
=n(n+2)
对b1=3也适合∴bn=n(n+2)(n∈N*


=
点评:本题主要考查等差数列的性质和用裂项法求和,注意由数列的性质,来确定求和的方法.
练习册系列答案
相关习题

科目:高中数学 来源: 题型:

已知各项都不相等的等差数列{an}的前6项和为60,且a6为a1和a21的等比中项,求数列{an}的通项an及前n项和Sn

查看答案和解析>>

科目:高中数学 来源: 题型:

已知各项都不相等的等差数列{an}的前六项和为60,且a6为a1和a21的等比中项.
(1)求数列{an}的通项公式
(2)若数列{bn}满足bn+1-bn=an(n∈N*),且b1=3,求数列{
1bn
}
的前n项Tn

查看答案和解析>>

科目:高中数学 来源: 题型:

已知各项都不相等的等数列{an}的前六项和为60,且a6为a1与a21的等比中项.
(1)求数列{an}的通项公式及an及前n项和Sn
(2)若数列{bn}满足bn+1-bn=an(n∈N*),且b1=3,求数列{
1bn
}
的前n项和Tn

查看答案和解析>>

科目:高中数学 来源: 题型:

已知各项都不相等的等差数列{an}的前6项和为60,且A6为a1和a21的等比中项.
(1)求数列{an}的通项公式an及前n项和Sn
(2)若数列{bn}满足bn+1-bn=an(n∈N*),且b1=3,求数列{
1bn-n
}的前n项和Tn

查看答案和解析>>

科目:高中数学 来源: 题型:

已知各项都不相等的等差数列{an}的前六项和为60,且a6为a1和a21的等比中项.
(I)求数列{an}的通项公式an
(II)若数列{bn}满足bn+1-bn=an(n∈N*),且b1=3,求数列{bn}的通项公式bn
(III)求数列{
1bn-n
}的前n项和Tn

查看答案和解析>>

同步练习册答案