精英家教网 > 高中数学 > 题目详情

已知在△ABC中,A=120°,a=7bc=8,求bc的值及cosB

答案:略
解析:

解:利用余弦定理有

解得bc=15

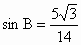
b=3c=5利用正弦定理可得

,∴

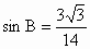
b=5c=3利用正弦定理可得

,∴


练习册系列答案
相关习题

科目:高中数学 来源: 题型:

已知在△ABC中,A>B,且tanA与tanB是方程x2-5x+6=0的两个根.
(Ⅰ)求tan(A+B)的值;
(Ⅱ)若AB=5,求BC的长.

查看答案和解析>>

科目:高中数学 来源: 题型:

已知在△ABC中,a=2
3
,c=6,A=30°
,求△ABC的面积S.

查看答案和解析>>

科目:高中数学 来源: 题型:

已知在△ABC中,∠A=120°,记
α
=
BA
|
BA
|cosA
+
BC
|
BC
|cosC
β
=
CA
|CA|
cosA
+
CB
|
CB
|sinB
CB
|
CB
|cosB
,则向量
α
β
的夹角为
120°
120°

查看答案和解析>>

科目:高中数学 来源: 题型:

已知在△ABC中,a=2
3
,b=6,A=30°,解三角形.

查看答案和解析>>

科目:高中数学 来源: 题型:

已知在△ABC中,a,b,c为内角A,B,C所对的边长,r为内切圆的半径,则△ABC的面积S=
1
2
(a+b+c)
•r,将此结论类比到空间,已知在四面体ABCD中,已知在四面体ABCD中,
S1,S2,S3,S4分别为四个面的面积,r为内切球的半径
S1,S2,S3,S4分别为四个面的面积,r为内切球的半径
,则
四面体ABCD的体积V=
1
3
(S1+S2+S3+S4).r
四面体ABCD的体积V=
1
3
(S1+S2+S3+S4).r

查看答案和解析>>

同步练习册答案