精英家教网 > 高中数学 > 题目详情
已知{an}是等差数列,{bn}是各项为正的等比数列,且a1=b1=1,a3+b5=21,a5+b3=13.
(1)求数列{an},{bn}的通项公式;
(2)求数列{an+bn} 的前n项和Sn
【答案】分析:(1)利用条件求数列的首项和公差,公比,然后求等差数列和等比数列的通项公式.
(2)利用分组法求数列{an+bn} 的前n项和Sn
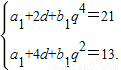
解答:解:(1)设等差数列{ an}的公差为d,等比数列{ bn}的公比为q,则根据题意,得…(3分)
代入a1=b1=1,整理得 
消去d,得 2q4-q2-28=0,即q2=4,进而q=2,q=-2(舍去).
所以 d=2.
数列{ an},{ bn}的通项公式分别为an=2n-1,bn=2n-1.…(7分)
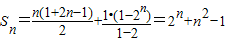
(2)因为 an+bn=2n-1+2n-1,所以由分组求和的办法,可得
…(10分)
点评:本题主要考查等差数列和等比数列的通项公式,以及利用分组求和的方法求数列的前n项和Sn
练习册系列答案
相关习题

科目:高中数学 来源: 题型:

已知
i
=(1,0),
jn
=(cos2
2
,sin
2
),
Pn
=(an,sin
2
)(n∈N+),数列{an}
满足:a1=1,a2=1,an+2=(i+
jn
)•
Pn

(I)求证:数列{a2k-1}是等差数;数列{a2k}是等比数列;(其中k∈N*);
(II)记an=f(n),对任意的正整数n≥2,不等式(cosnπ)[f(n2)-λf(2n)]≤0,求λ的取值范围.

查看答案和解析>>

科目:高中数学 来源: 题型:

设Sn是等差数{an}的前n项和,已知S6=36,Sn=324,若Sn-6=144(n>6),则n等于

A.15                 B.16             C.17                D.18

查看答案和解析>>

科目:高中数学 来源:不详 题型:解答题

已知
i
=(1,0),
jn
=(cos2
2
,sin
2
),
Pn
=(an,sin
2
)(n∈N+),数列{an}
满足:a1=1,a2=1,an+2=(i+
jn
)•
Pn

(I)求证:数列{a2k-1}是等差数;数列{a2k}是等比数列;(其中k∈N*);
(II)记an=f(n),对任意的正整数n≥2,不等式(cosnπ)[f(n2)-λf(2n)]≤0,求λ的取值范围.

查看答案和解析>>

科目:高中数学 来源:2009-2010学年重庆市南开中学高三(上)期末数学试卷(文科)(解析版) 题型:解答题

已知满足:
(I)求证:数列{a2k-1}是等差数;数列{a2k}是等比数列;(其中k∈N*);
(II)记an=f(n),对任意的正整数n≥2,不等式(cosnπ)[f(n2)-λf(2n)]≤0,求λ的取值范围.

查看答案和解析>>

同步练习册答案