精英家教网 > 高中数学 > 题目详情

如图,动物园要围成相同面积的长方形虎笼四间,一面可利用原有的墙,其他各面用钢筋网围成.

(1)现有可围36m长网的材料,每间虎笼的长、宽各设计为多少时,可使每间虎笼面积最大?

(2)若使每间虎笼面积为,则每间虎笼的长、宽各设计为多少时,可使围成四间虎笼的钢筋网总长最小?

答案:4.5m,3m;6m,4m
解析:

设每间虎笼长xm,宽ym,则问题(1)是在4x6y36的前提下求xy的最大值;而问题(2)则是在xy24的前提下求4x6y的最小值.因此,使用极值定理解决.

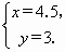
解:(1)设每间虎笼长xm,宽ym,则由条件知:4x6y36,即2x3y18

设每间虎笼面积为S,则Sxy

1:由于

所以,得

,当且仅当2x3y时,等号成立.

解得

故每间虎笼长为4.5m,宽3m时,可使面积最大.

2:由2x3y18

x0,∴0y6

0y66y0

当且仅当6yy,即y3时,等号成立,此时x4.5

故每间虎笼长4.5m,宽3m时,可使面积最大.

(2)由条件知Sxy24

设钢筋网总长为l4x6y

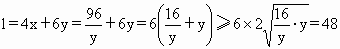
1:∵

l4x6y2(2x3y)48,当且仅当2x3y时,等号成立.

解得

故每间虎笼长6m,宽4m时,可使钢筋网总长最小.

2:由xy24,得

当且仅当,即y4时,等号成立,此时x6

故每间虎笼长6m,宽4m时,可使钢筋网总长最小.

在使用极值定理求函数的最大值或最小值时要注意:(1)xy都是正数;(2)xy(或和xy)为定值;(3)xy必须能够相等,特别情况下,还要根据条件构造满足上述三个条件的结论.


练习册系列答案
相关习题

科目:高中数学 来源: 题型:

如图,动物园要围成相同的长方形(无盖)虎笼四间,一面可以用原有的墙,其他各面用钢丝网围成.
(1)若使每间虎笼面积为24m2,则每间虎笼的长和宽各设计为多少时,可使围成四间虎笼的钢丝网总长度最小?
(2)若现有36m长钢丝网,则每间虎笼的长和宽各设计为多少时,可使每间虎笼的面积最大?

查看答案和解析>>

科目:高中数学 来源: 题型:044

如图,动物园要围成相同面积的长方形虎笼四间,一面可利用原有的墙,其他各面用钢筋网围成.

(1)现有可围36m长网的材料,每间虎笼的长、宽各设计为多少时,可使每间虎笼面积最大?

(2)若使每间虎笼面积为,则每间虎笼的长、宽各设计为多少时,可使围成四间虎笼的钢筋网总长最小?

查看答案和解析>>

科目:高中数学 来源: 题型:解答题

如图,动物园要围成相同的长方形(无盖)虎笼四间,一面可以用原有的墙,其他各面用钢丝网围成.
(1)若使每间虎笼面积为24m2,则每间虎笼的长和宽各设计为多少时,可使围成四间虎笼的钢丝网总长度最小?
(2)若现有36m长钢丝网,则每间虎笼的长和宽各设计为多少时,可使每间虎笼的面积最大?

查看答案和解析>>

科目:高中数学 来源:不详 题型:解答题

如图,动物园要围成相同的长方形(无盖)虎笼四间,一面可以用原有的墙,其他各面用钢丝网围成.
(1)若使每间虎笼面积为24m2,则每间虎笼的长和宽各设计为多少时,可使围成四间虎笼的钢丝网总长度最小?
(2)若现有36m长钢丝网,则每间虎笼的长和宽各设计为多少时,可使每间虎笼的面积最大?
精英家教网

查看答案和解析>>

科目:高中数学 来源:2010-2011学年河北省唐山市迁安市高一(下)期中数学试卷(解析版) 题型:解答题

如图,动物园要围成相同的长方形(无盖)虎笼四间,一面可以用原有的墙,其他各面用钢丝网围成.
(1)若使每间虎笼面积为24m2,则每间虎笼的长和宽各设计为多少时,可使围成四间虎笼的钢丝网总长度最小?
(2)若现有36m长钢丝网,则每间虎笼的长和宽各设计为多少时,可使每间虎笼的面积最大?

查看答案和解析>>

同步练习册答案