精英家教网 > 高中数学 > 题目详情
已知△ABC的顶点A(0,1),AB边上的中线CD所在的直线方程为2x-2y-1=0,AC边上的高BH所在直线的方程为y=0。
(1)求△ABC的顶点B、C的坐标;
(2)若圆M经过不同的三点A、B、P(m,0),且斜率为1的直线与圆M相切于点P,求圆M的方程。
解:(1)AC边上的高BH所在直线的方程为y=0,所以,AC:x=0,
又CD:2x-2y-1=0,所以
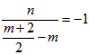
设B(b,0),则AB的中点,代入方程2x-2y-1=0,解得b=2,所以B(2,0);
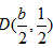
(2)由A(0,1),B(2,0)可得,圆M的弦AB的中垂线方程为4x-2y-3=0,注意到BP也是圆M的弦,所以,圆心在直线x=上,设圆心M坐标为
因为圆心M在直线上4x-2y-3=0,
所以2m-2n+1=0…………①,
又因为斜率为1的直线与圆M相切于点P,所以,即
整理得…………②,
由①②解得
所以,,半径
所以所求圆方程为
练习册系列答案
相关习题

科目:高中数学 来源: 题型:

在直角坐标系xoy中,已知△ABC的顶点A(-1,0)和C(1,0),顶点B在椭圆
x2
4
+
y2
3
=1
上,则
sinA+sinC
sinB
的值是(  )
A、
3
2
B、
3
C、4
D、2

查看答案和解析>>

科目:高中数学 来源: 题型:

已知△ABC的顶点A(2,8),B(-4,0),C(6,0),
(1)求直线AB的斜率; 
(2)求BC边上的中线所在直线的方程.

查看答案和解析>>

科目:高中数学 来源: 题型:

已知△ABC的顶点A,B的坐标分别为(-4,0),(4,0),C 为动点,且满足|AC|+|BC|=
54
|AB|
,求点C的轨迹方程,并说明它是什么曲线.

查看答案和解析>>

科目:高中数学 来源: 题型:

已知△ABC的顶点A(1,3),AB边上的中线CM所在直线方程为2x-3y+2=0,AC边上的高BH所在直线方程为2x+3y-9=0.求:
(1)顶点C的坐标;
(2)直线BC的方程.

查看答案和解析>>

科目:高中数学 来源: 题型:

已知△ABC的顶点A(0,-4),B(0,4),且4(sinB-sinA)=3sinC,则顶点C的轨迹方程是
y2
9
-
x2
7
=1
(y>3)
y2
9
-
x2
7
=1
(y>3)

查看答案和解析>>

同步练习册答案