精英家教网 > 高中数学 > 题目详情
已知定义在R上的可导函数y=f(x)的导函数为f′(x),满足f′(x)<f(x)且y=f(x+1)为偶函数,f(2)=1,则不等式f(x)<ex的解集为   
【答案】分析:首先构造函数,研究g(x)的单调性,结合原函数的性质和函数值,即可求解
解答:解:∵y=f(x+1)为偶函数
∴y=f(x+1)的图象关于x=0对称
∴y=f(x)的图象关于x=1对称
∴f(2)=f(0)
又∵f(2)=1
∴f(0)=1
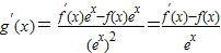
(x∈R),则
又∵f′(x)<f(x)
∴f(x)-f(x)<0
∴g(x)<0
∴y=g(x)单调递减
∵f(x)<ex

即g(x)<1
又∵
∴g(x)<g(0)
∴x>0
故答案为:(0,+∞)
点评:本题首先须结合已知条件构造函数,然后考察用导数判断函数的单调性,再由函数的单调性和函数值的大小关系,判断自变量的大小关系,属较难题
练习册系列答案
相关习题

科目:高中数学 来源: 题型:

已知定义在R上的可导函数y=f(x)的导函数为f′(x),满足f′(x)<f(x)且y=f(x+1)为偶函数,f(2)=1,则不等式f(x)<ex的解集为
(0,+∞)
(0,+∞)

查看答案和解析>>

科目:高中数学 来源: 题型:

已知定义在R上的可导函数y=f(x)的导函数为f′(x),满足f′(x)<f(x),且y=f(x+1)为偶函数,f(2)=1,则不等式f(x)<ex的解集为(  )

查看答案和解析>>

科目:高中数学 来源: 题型:

(2013•日照二模)已知定义在R上的可导函数f(x)的导函数为f′(x),满足f′(x)<f(x),且f(x+2)为偶函数,f(4)=1,则不等式f(x)<ex的解集为(  )

查看答案和解析>>

科目:高中数学 来源: 题型:

已知定义在R上的可导函数y=f(x)对任意x∈R都有f(x)=f(-x),且当x≠0时,有x•f′(x)<0,现设a=f(-sin32°),b=f(cos32°),则实数a,b的大小关系是
a>b
a>b

查看答案和解析>>

科目:高中数学 来源: 题型:

已知定义在R上的可导函数f(x)的导函数为f′(x),满足f′(x)<f(x),且f(x+2)为偶函数,f(4)=1,则不等式f(x)<ex的解集为
 

查看答案和解析>>

同步练习册答案