精英家教网 > 高中数学 > 题目详情

平面直角坐标系中O是坐标原点,已知两点A(2,-1),B(-1,3),若点C满足其中,则点C的轨迹方程为

A.                    B.

C.         D. 

 

【答案】

C

【解析】

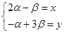
试题分析:设点,则,则有,解得,代入中,得点的轨迹方程为.

考点:1、向量的坐标运算;2、曲线的方程.

 

练习册系列答案
相关习题

科目:高中数学 来源: 题型:

在平面直角坐标系中,O是坐标原点,=(1,1),=(1,-1),点P(x,y)满足不等式,则点P的轨迹表示的平面区域为(    )

查看答案和解析>>

科目:高中数学 来源:2014届江苏省高二第一次限时作业数学试卷(解析版) 题型:解答题

已知平面直角坐标系中O是坐标原点,,圆的外接圆,过点(2,6)的直线为

(1)求圆的方程;

(2)若与圆相切,求切线方程;

(3)若被圆所截得的弦长为,求直线的方程。

 

查看答案和解析>>

科目:高中数学 来源: 题型:

(本小题16分)已知平面直角坐标系O是坐标原点,,圆 的外接圆,过点(2,6)的直线被圆所截得的弦长为.

(I)求圆的方程及直线的方程;

(II)设圆的方程,过圆上任意一点作圆的两条切线,切点为,求的最大值.

查看答案和解析>>

科目:高中数学 来源: 题型:

已知平面直角坐标系中O是坐标原点,,圆的外接圆,过点(2,6)的直线被圆所截得的弦长为.

(1)求圆的方程及直线的方程;

(2)设圆的方程,过圆上任意一点作圆的两条切线,切点为,求的最大值.

查看答案和解析>>

同步练习册答案