精英家教网 > 高中数学 > 题目详情
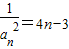
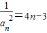
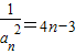
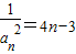
已知函数f(x)=+4(x≠0),各项均为正数的数列{an}中a1=1,=f(an)(n∈N+).
(1)求数列{an}的通项公式;
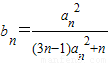
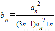
(2)数列{bn}满足:,Sn为数列{bn}的前n项和,若Sn>a对?n∈N+恒成立,求实数a的取值范围.
【答案】分析:(1)由题设知,由此能得到,从而能求出数列{an}的通项公式.
(2)由,知=),由此利用裂项求和法能求出Sn=,由Sn>a对?n∈N+恒成立,能求出实数a的取值范围.
解答:解:(1)∵函数f(x)=+4(x≠0),
各项均为正数的数列{an}中a1=1,=f(an)(n∈N+),
,即
∴{}是以1为首项4为公差的等差数列.

.…(6分)
(2)∵

=
=
=),
.…(10分)

∵Sn>a对?n∈N+恒成立,
∴a<
故实数a的取值范围是(-∞,).…(13分)
点评:本题考查数列的通项公式的求法,考查数列的前n项和的求法及其应用.解题时要认真审题,仔细解答,注意裂项求和法的合理运用.
练习册系列答案
相关习题

科目:高中数学 来源: 题型:

已知函数f(x)=sinxcosφ+cosxsinφ(其中x∈R,0<φ<π).
(1)求函数f(x)的最小正周期;
(2)若函数y=f(2x+
π
4
)
的图象关于直线x=
π
6
对称,求φ的值.

查看答案和解析>>

科目:高中数学 来源: 题型:

已知函数f(x)为定义在R上的奇函数,且当x>0时,f(x)=(sinx+cosx)2+2cos2x,
(1)求x<0,时f(x)的表达式;
(2)若关于x的方程f(x)-a=o有解,求实数a的范围.

查看答案和解析>>

科目:高中数学 来源: 题型:

已知函数f(x)=aInx-ax,(a∈R)
(1)求f(x)的单调递增区间;(文科可参考公式:(Inx)=
1
x

(2)若f′(2)=1,记函数g(x)=x3+x2[f(x)+
m
2
]
,若g(x)在区间(1,3)上总不单调,求实数m的范围.

查看答案和解析>>

科目:高中数学 来源: 题型:

已知函数f(x)=x2-bx的图象在点A(1,f(1))处的切线l与直线3x-y+2=0平行,若数列{
1
f(n)
}
的前n项和为Sn,则S2010的值为(  )
A、
2011
2012
B、
2010
2011
C、
2009
2010
D、
2008
2009

查看答案和解析>>

科目:高中数学 来源: 题型:

已知函数f(x)是定义在区间(-1,1)上的奇函数,且对于x∈(-1,1)恒有f’(x)<0成立,若f(-2a2+2)+f(a2+2a+1)<0,则实数a的取值范围是
 

查看答案和解析>>

同步练习册答案