精英家教网 > 高中数学 > 题目详情

求下列各式的值:

(1)

(2)

(3)

(4)

答案:略
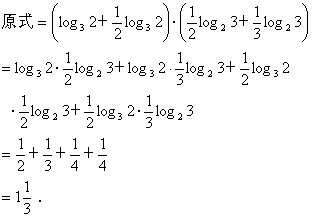
解析:

(1)

(2)

(3)

(4)


练习册系列答案
相关习题

科目:高中数学 来源: 题型:

已知tanα=2,求下列各式的值:
(1)
5sinα-3cosα
2cosα+2sinα
;                  
(2)
2sin2α-3cos2α
cosαsinα

查看答案和解析>>

科目:高中数学 来源: 题型:

不用计算器求下列各式的值:
(1)(
9
4
)
1
2
-(-9.6)0-(
27
8
)-
2
3
+(1.5)-2
+
(π-4)2

(2)log3
427
3
+2log510+log50.25+71-log72

查看答案和解析>>

科目:高中数学 来源: 题型:

已知a+a-1=7,求下列各式的值:
(1)
a
3
2
-a-
3
2
a
1
2
-a-
1
2
; (2)a
1
2
+a-
1
2
; (3)a2-a-2
 &(a>1)

查看答案和解析>>

科目:高中数学 来源: 题型:

已知
tanα
tanα-1
=-1
,求下列各式的值:
(Ⅰ) 
sinα-3cosα
sinα+cosα

(Ⅱ)cos2(
π
2
+α)-sin(π-α)cos(π+α)+2

查看答案和解析>>

科目:高中数学 来源: 题型:

已知sinθ+cosθ=
15
,0<θ<π
,求下列各式的值:
(1)sinθ•cosθ
(2)sinθ-cosθ
(3)tanθ

查看答案和解析>>

同步练习册答案