精英家教网 > 高中数学 > 题目详情
设f(x)的定义域为(0,+∞),对于任意正实数m,n恒有f=f(m)+f(n),且当x>1时,
(1)求f(2)的值;
(2)求证:f(x)在(0,+∞)上是增函数;
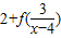
(3)解关于x的不等式
【答案】分析:(1)利用赋值法,可令m=n=1可求得f(1)=0,再令,可求f(2)的值;
(2)为定义法证明函数的单调性,注意步骤;(3)利用已证的单调性把不等式转化为不等式组求解.
解答:解:(1)对于任意正实数m,n;恒有f(mn)=f(m)+f(n)
令m=n=1,f(1)=2f(1)∴f(1)=0,
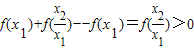
又∵
再令,得

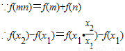
(2)令0<x1<x2,则
∵当x>0时,

=
∴f(x2)>f(x1
∴f(x)在区间(0,+∞)上是增函数.
(3)∵f(mn)=f(m)+f(n)f(2)=1
∴f(4)=2f(2)=2
=
∴原不等式可化为,又∵f(x)在区间(0,+∞)上是增函数

∴x≥6
点评:本题为函数的性质及应用,涉及不等式的解法即转化的思想,属基础题.
练习册系列答案
相关习题

科目:高中数学 来源: 题型:

设f(x)的定义域为(0,+∞),f(x)的导函数为f′(x),且对任意正数x均有f′(x)>
f(x)
x

(Ⅰ)判断函数F(x)=
f(x)
x
在(0,+∞)上的单调性;
(Ⅱ)设x1,x2∈(0,+∞),比较f(x1)+f(x2)与f(x1+x2)的大小,并证明你的结论.

查看答案和解析>>

科目:高中数学 来源: 题型:

18、设F(x)的定义域为R,且满足F(ab)=F(a)F(b),其中F(2)=8.定义在R上的函数f(x)满足下述条件:①f(x)是奇函数;②f(x+2)是偶函数;③在[-2,2]上,f(x)=F(x)
(1)设G(x)=f(x+4),判断G(x)的奇偶性并证明;(2)解关于x的不等式:f(x)≤1.

查看答案和解析>>

科目:高中数学 来源: 题型:

设f(x)的定义域为[0,2],则函数f(x2)的定义域是(  )

查看答案和解析>>

科目:高中数学 来源: 题型:

设f(x)的定义域为D,若f(x)满足下面两个条件,则称f(x)为闭函数,[a,b]为函数f(x)的闭区间.①f(x)在D内是单调函数;②存在[a,b]⊆D,使f(x)在[a,b]上的值域为[a,b].
(1)写出f(x)=x3的一个闭区间;
(2)若f(x)=
13
x3-k为闭函数求k取值范围?

查看答案和解析>>

科目:高中数学 来源: 题型:

设f(x)的定义域为D,f(x)满足下面两个条件,则称f(x)为闭函数.
①f(x)在D内是单调函数;
②存在[a,b]⊆D,f(x)在[a,b]上的值域为[a,b].
如果f(x)=
2x+1
+k
为闭函数,那么k的取值范围是
-1<k≤-
1
2
-1<k≤-
1
2

查看答案和解析>>

同步练习册答案