精英家教网 > 高中数学 > 题目详情
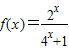
已知函数y=f(x)的定义域为R,且f(-x)=-f(x),当x∈(0,1)时,
(1)求f(x)在(-1,0)上的解析式;(2)求证:f(x)在(0,1)上是减函数.
【答案】分析:(1)x∈(-1,0)时,-x∈(0,1),从而有f(-x)==,再由f(-x)=-f(x)即可求得f(x)在(-1,0)上的解析式;
(2)利用单调性的定义证明即可.先设0<x1<x2<1,再作差f(x1)-f(x2)化积后判断即可.
解答:解:(1)∵f(-x)=-f(x),x∈(0,1)时,
∴当x∈(-1,0)时,
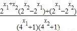
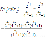
(2)证明:设0<x1<x2<1,则

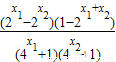
=

∵0<x1<x2<1,

∴f(x1)-f(x2)>0,即f(x1)>f(x2),
∴f(x)在(0,1)是减函数.
点评:本题考查函数单调性的判断与证明,难点在于(2)的证明,着重考查转化与复杂的运算能力,属于难题.
练习册系列答案
相关习题

科目:高中数学 来源: 题型:

16、已知函数y=f(x)是R上的奇函数且在[0,+∞)上是增函数,若f(a+2)+f(a)>0,求a的取值范围.

查看答案和解析>>

科目:高中数学 来源: 题型:

2、已知函数y=f(x+1)的图象过点(3,2),则函数f(x)的图象关于x轴的对称图形一定过点(  )

查看答案和解析>>

科目:高中数学 来源: 题型:

已知函数y=f(x)是偶函数,当x<0时,f(x)=x(1-x),那么当x>0时,f(x)=
-x(1+x)
-x(1+x)

查看答案和解析>>

科目:高中数学 来源: 题型:

已知函数y=f(x)是定义在R上的奇函数,当x>0 时,f(x)的图象如图所示,则不等式x[f(x)-f(-x)]≤0 的解集为
[-3,3]
[-3,3]

查看答案和解析>>

科目:高中数学 来源: 题型:

已知函数y=f(x)的图象如图,则满足f(log2(x-1))•f(2-x2-1)≥0的x的取值范围为
(1,3]
(1,3]

查看答案和解析>>

同步练习册答案