精英家教网 > 高中数学 > 题目详情
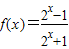
已知函数
(1)若f(x)满足f(-x)=-f(x),求实数a的值;
(2)在(1)的条件下,判断函数f(x)在[-1,1]上是否有零点,并说明理由;
(3)若函数f(x)在R上有零点,求a的取值范围.
【答案】分析:(1)根据函数奇偶性的定义,由f(-x)=-f(x)采用比较系数法,可解出a=1;
(2)根据指数函数单调性,得f(x)=1-是R上的增函数.再由f(-1)<0,f(1)>0且f(0)=0,可得f(x)在[-1,1]上有唯一零点x=0;
(3)函数f(x)在R上有零点,即方程a=在R上有实数根.讨论函数t═的单调性,可得它的值域为(0,2),由此即可得到f(x)在R上有零点时实数a的取值范围.
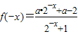
解答:解:(1)∵=
,且f(-x)=-f(x),
,解之得a=1;
(2)∵a=1,∴=1-
∵t=是R上的减函数,∴f(x)是R上的增函数.
∵f(-1)=-<0,f(1)=>0,f(0)=0
∴f(x)在[-1,1]上有唯一零点x=0.
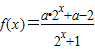
(3)=a-
∵函数f(x)在R上有零点,
∴方程a=在R上有实数根
∵t=上是减函数,2x+1>1
∴t=∈(0,2)
由此可得,当a∈(0,2)时,方程a=在R上有实数根
综上所述,若函数f(x)在R上有零点,a的取值范围是(0,2).
点评:本题给出含有指数式的分式形式的函数,叫我们讨论其奇偶性并求值域.着重考查了函数的奇偶性、基本初等函数的值域求法等知识,属于基础题.
练习册系列答案
相关习题

科目:高中数学 来源: 题型:

已知函数 

(1)若f(x)的定义域是R,求实数a的取值范围及f(x)的值域;

(2)若f(x)的值域是R,求实数a的取值范围及f(x)的定义域.

查看答案和解析>>

科目:高中数学 来源:2012-2013学年浙江省嘉兴市高二(下)期末数学试卷(文科)(解析版) 题型:解答题

已知函数
(1)若f'(1)=2,求m的值;
(2)若函数y=f(x)在[1,+∞)上为单调函数,求m的取值范围.

查看答案和解析>>

科目:高中数学 来源:2012-2013学年安徽省安庆市潜山中学高一(上)期中数学试卷(解析版) 题型:解答题

已知函数
(1)若f(x)满足f(-x)=-f(x),求实数a的值;
(2)在(1)的条件下,判断函数f(x)在[-1,1]上是否有零点,并说明理由;
(3)若函数f(x)在R上有零点,求a的取值范围.

查看答案和解析>>

科目:高中数学 来源:2009-2010学年湖南省长沙市长郡中学高一(下)期末数学试卷(解析版) 题型:解答题

已知函数
(1)若f(x)的最大值为1,求m的值
(2)当时,|f(x)|≤4恒成立,求实数m的取值范围.

查看答案和解析>>

科目:高中数学 来源:2007-2008学年浙江省杭州市学军中学高三第二次月考数学试卷(理科)(解析版) 题型:解答题

已知函数
(1)若f(x)在[1,3]上单调递增,求a的取值范围;
(2)若f(x)在x=x1,x=x2处取极值,且满足|f(x1)-f(x2)|≤|x1-x2|,求a的取值范围.

查看答案和解析>>

同步练习册答案