精英家教网 > 高中数学 > 题目详情

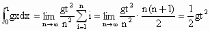
已知f(x)=gxg是常数,求f(x)0t的积分,即求

答案:略
解析:

解析:(1)分割[0t]

(2)为第i个小区间的右端点,作和

(3)


练习册系列答案
相关习题

科目:高中数学 来源: 题型:

(2013•温州一模)已知函数f(x)=ax2-gx(a∈R),f′(x)是f(x)的导函数(g为自然对数的底数)
(Ⅰ)解关于x的不等式:f(x)>f′(x);
(Ⅱ)若f(x)有两个极值点x1,x2,求实数a的取值范围.

查看答案和解析>>

科目:高中数学 来源: 题型:

(2009•烟台二模)已知函数f(x)=gx-x (g为自然对数的底数).
(1)求f(x)的最小值;
(2)设不等式f(x)>ax的解集为P,若M={x|
1
2
≤x≤2
},且M∩P≠∅,求实数a的取值范围;
(3)已知n∈N+,且S n=
n
0
f(x)dx
,是否存在等差数列{an}和首项为f(1)公比大于0的等比数列{bn},使得Sn=
n
k=1
(ak+bk)
?若存在,请求出数列{an},{bn}的通项公式.若不存在,请说明理由.

查看答案和解析>>

科目:高中数学 来源:四川省成都外国语学校2011-2012学年高一上学期期中考试数学试题 题型:022

给出下列四个命题,正确的命题是________;

①定义在R上的函数f(x),函数y=f(x-1)与y=f(1-x)的图象关于Y轴对称;

②若f(x)=gx-(k+1)3x+1>0恒成立,则k的范围是(-∞,1);

③已知f(x)=1+log2x(1≤x≤16),则函数y=f2(x)+f(x2)的值域是[2,34];

④[x]表示不超过x的最大整数,当x是整数时[x]就是x,这个函数y=[x]叫做“取整函数”.那么[log21]+[log22]+[log23]+[log24]+…+[log2128]=649.

查看答案和解析>>

科目:高中数学 来源:2012-2013学年北京四中高三(上)期中数学试卷(理科)(解析版) 题型:解答题

已知函数f(x)=gx-x (g为自然对数的底数).
(1)求f(x)的最小值;
(2)设不等式f(x)>ax的解集为P,若M={x|},且M∩P≠∅,求实数a的取值范围;
(3)已知n∈N+,且S,是否存在等差数列{an}和首项为f(1)公比大于0的等比数列{bn},使得?若存在,请求出数列{an},{bn}的通项公式.若不存在,请说明理由.

查看答案和解析>>

同步练习册答案