已知数列{an}的前n项和是sn=n2-2n+2,
(1)求数列{an}的通项公式;
(2)令bn=anxn(x∈R且x≠0).求数列{bn}前n项和的公式.
【答案】
分析:(1)利用“当n=1时,a
1=S
1;当n≥2时,a
n=S
n-S
n-1即可得出a
n;
(2)对x=1和x≠1分类讨论,及利用“错位相减法”和等比数列的前n项和公式即可得出.
解答:解:(1)当n=1时,a
1=S
1=1-2+2=1;
当n≥2时,a
n=S
n-S
n-1=n
2-2n+2-[(n-1)
2-2(n-1)+2]
=2n-3.
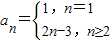
∴

.
(2)设数列{b
n}前n项和为T
n.
b
1=x,
n≥2时,

.
∴当n=1时,T
1=b
1=x;
当n≥2时,T
n=x+x
2+3x
3+…+(2n-3)x
n,

+…+(2n-5)x
n+(2n-3)x
n+1∴(1-x)T
n=x+2x
3+2x
4+…+2x
n-(2n-3)x
n+1①x≠1,T
n=

.
②当x=1时,T
1=1,
n≥2时,T
n=1+1+3+…+(2n-3)=1+(n-1)
2=n
2-2n+2.
点评:熟练掌握“当n=1时,a
1=S
1;当n≥2时,a
n=S
n-S
n-1即可得出a
n”、分类讨论、“错位相减法”和等比数列的前n项和公式等是解题的关键.