精英家教网 > 高中数学 > 题目详情

下列命题中,真命题的个数有    (    )

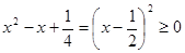
③“”是“”的充要条件;

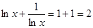
是奇函数.

(A)1个   (B)2个     (C)3个        (D)4个

 

【答案】

C

【解析】

试题分析:由知①是真命题;当时,知②是真命题;若,而若知“”是“”的必要不充分条件,所以③是假命题;令,显然,则知“是奇函数”是真命题.

考点:真假命题的判断.

 

练习册系列答案
相关习题

科目:高中数学 来源: 题型:

设m,n是两条不同的直线,α,β,γ是三个不同的平面,给出下列命题:
①若m?β,α⊥β,则m⊥α;②若m∥α,m⊥β,则α⊥β;
③若α⊥β,α⊥γ,则β⊥γ;④若α∩γ=m,β∩γ=n,m∥n,则α∥β.
上面命题中,真命题的序号是
.       (写出所有真命题的序号).

查看答案和解析>>

科目:高中数学 来源: 题型:

下列命题中是真命题的是(  )

查看答案和解析>>

科目:高中数学 来源: 题型:

下列命题中为真命题的是(    )

①底面是正多边形而且侧棱长与底面边长相等的棱锥是正多面体;②正多面体的面不是三角形就是正方形;③若长方体的各侧面都是正方形时,它就是正多面体;④正三棱锥是正四面体.

A.①②             B.③               C.②③              D.④

查看答案和解析>>

科目:高中数学 来源: 题型:

下列命题中为真命题的是                                               (    )

A.平行直线的倾斜角相等              B.平行直线的斜率相等

C.互相垂直的两直线的倾斜角互补      D.互相垂直的两直线的斜率互为相反

查看答案和解析>>

科目:高中数学 来源:2015届河南周口中英文学校高二上学期第三次月考数学试卷(解析版) 题型:选择题

下列命题中为真命题的是 (   )

A.命题“若,则”的逆命题

B.命题“若,则”的否命题

C.命题“若,则”的否命题

D.命题“若,则”的逆否命题

 

查看答案和解析>>

同步练习册答案