精英家教网 > 高中数学 > 题目详情
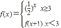
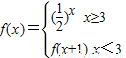
给出函数,则f(log23)=   
【答案】分析:由函数,知f(log23)=f(log23+1)=f(log23+2)=,由此能求出其结果.
解答:解:∵函数
∴f(log23)=f(log23+1)=f(log23+2)==×=
故答案为:
点评:本题考查函数的性质和应用,解题时要认真审题,仔细解答.
练习册系列答案
相关习题

科目:高中数学 来源:2012-2013学年浙江省温州市十校联考高一(上)期中数学试卷(解析版) 题型:填空题

给出函数,则f(log34)=   

查看答案和解析>>

科目:高中数学 来源:2012-2013学年浙江省温州市永嘉县楠江中学高一(上)期中数学试卷(解析版) 题型:填空题

给出函数,则f(log34)=   

查看答案和解析>>

科目:高中数学 来源:2012-2013学年浙江省温州市十校联考高一(上)期中数学试卷(解析版) 题型:填空题

给出函数,则f(log34)=   

查看答案和解析>>

科目:高中数学 来源: 题型:解答题

给出函数数学公式,则f(2)=________.

查看答案和解析>>

科目:高中数学 来源:2009-2010学年江苏省扬州中学高一(上)期末数学试卷(解析版) 题型:填空题

给出函数,则f(log23)=   

查看答案和解析>>

同步练习册答案