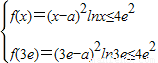
设函数f(x)=(x-a)2lnx,a∈R,e为自然对数的底数,e=2.7182…,如果对任意的x∈(0,3e],恒有f(x)≤4e2成立,求a的取值范围.
【答案】
分析:对x∈(0,3e]进行分区间讨论,求出f(x)的最大值,令最大值小于4e
2,解不等式求出a的范围.
解答:解:f'(x)=(x-a)(2ln x+1-

).
①当0<x≤1时,对于任意的实数a,恒有f(x)≤0<4e
2成立
②当1<x≤3e时,由题意,首先有f(3e)=(3e-a)
2ln3e≤4e
2,解得

由(I)知f′(x)=2(x-a)lnx+

=(x-a)(2lnx+1-

),
令h(x)=2lnx+1-

,则h(1)=1-a<0,h(a)=2lna>0且h(3e)=2ln3e+1-

≥2ln3e+1-

=2(ln3e-

)>0
又h(x)在(0,+∞)内单调递增,所以函数h(x)在(0,+∞)内有唯一零点,记此零点为x
则1<x
<3e,1<x
<a,从而,当x∈(0,x
)时,f′(x)>0,当x∈(x
,a)时,f′(x)<0,当x∈(a,+∞)时,f′(x)>0,即f(x)在(0,x
)内是增函数,在(x
,a)内是减函数,在(a,+∞)内是增函数
所以要使得对任意的x∈(0,3e],恒有f(x)≤4e
2成立只要有

有h(x
)=2lnx
+1-

=0得a=2x
lnx
+x
,将它代入

得4x
2ln
2x
≤4e
2又x
>1,注意到函数4x
2ln
2x在(1,+∞)上是增函数故1<x
≤e
再由a=2x
lnx
+x
,及函数2xlnx+x在(1,+∞)上是增函数,可得1<a≤3e
由f(3e)=(3e-a)
2ln3e≤4e
2解得

,
所以得

综上,a的取值范围为

.
点评:本题考查函数的极值的概念,导数运算法则,导数应用,不等式等基础知识,同时考查推理论证能力,分类讨论等分析问题和解决问题的能力,解题的关键是准确求出导数,利用二次求导和函数零点分区间计论导函数的符号,得到原函数的单调性,本题属于难题.