精英家教网 > 高中数学 > 题目详情
过点(m,0)作圆x2+y2=1的切线交椭圆x2+4y2=4于A,B两点,则|AB|的最大值是( )
A.2
B.4
C.3
D.2
【答案】分析:设出直线AB所在的直线方程,由圆心到直线的距离等于圆的半径得到m和直线的斜率的关系式,再把直线方程和椭圆方程联立后化为关于x的一元二次方程,利用根与系数关系得到A,B两点的横坐标的和与积,代入弦长公式后转化为含有一个字母的函数关系,然后利用基本不等式求最值.
解答:解:设直线AB的方程为y=k(x-m),
由直线AB与圆x2+y2=1相切可知,圆心到直线的距离d=
化简得k2m2=k2+1.
将直线方程y=k(x-m)代入椭圆方程x2+4y2=4消y,得
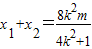
(4k2+1)x2-8k2mx+4k2m2-4=0
设点A(x1,y1),B(x2,y2),

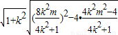
|AB|==
=
==
当且仅当|m|=,即|m|=√3,m=±√3时,取等号
当直线AB与X轴垂直,切点为(±1,0),将x=±1代入椭圆方程求得y=±√3/2
∴此时|AB|=√3<2
综上,m=±√3,有|AB|最大值2.
点评:本题考查了直线与圆锥曲线的关系,考查了分类讨论得数学思想方法,训练了弦长公式的应用,考查了利用基本不等式求最值,考查了学生的运算能力,是有一定难度题目.
练习册系列答案
相关习题

科目:高中数学 来源: 题型:

已知圆C过点P(1,1),且与圆M:(x+2)2+(y+2)2=r2(r>0)关于x+y+2=0对称.
(Ⅰ)求圆C的方程;
(Ⅱ)过点(
2
,2)作圆C的切线,求切线的方程;
(Ⅲ)过点P作两条相异直线分别与圆C相交A,B两点,设直线PA和直线PB的斜率分别为k,-k,O为坐标原点,试判断直线OP和直线AB是否平行?请说明理由.

查看答案和解析>>

科目:高中数学 来源: 题型:

已知圆M:(x+
5
)2+y2=36
,定点N(
5
,0),点P为圆M上的动点,点Q在NP上,点G在MP上,且满足
NP
=2
NQ
GQ
NP
=0

(1)求点G的轨迹C的方程;
(2)过点(2,0)作斜率为k的直线l,与曲线C交于A,B两点,O是坐标原点,是否存在这样的直线l,使得
OA
OB
≤-1?若存在,求出直线l的斜率k的取值范围;若不存在,请说明理由.

查看答案和解析>>

科目:高中数学 来源: 题型:

在周长为定值的△ABC中,已知|AB|=2
3
,动点C的运动轨迹为曲线G,且当动点C运动时,cosC有最小值-
1
2

(1)以AB所在直线为x轴,线段AB的中垂线为y轴建立直角坐标系,求曲线G的方程.
(2)过点(m,0)作圆x2+y2=1的切线l交曲线G于M,N两点.将线段MN的长|MN|表示为m的函数
 
,并求|MN|的最大值.

查看答案和解析>>

科目:高中数学 来源: 题型:解答题

在周长为定值的△ABC中,已知数学公式,动点C的运动轨迹为曲线G,且当动点C运动时,cosC有最小值数学公式
(1)以AB所在直线为x轴,线段AB的中垂线为y轴建立直角坐标系,求曲线G的方程.
(2)过点(m,0)作圆x2+y2=1的切线l交曲线G于M,N两点.将线段MN的长|MN|表示为m的函数________,并求|MN|的最大值.

查看答案和解析>>

科目:高中数学 来源:广东省月考题 题型:解答题

在周长为定值的△ABC中,已知,动点C的运动轨迹为曲线G,且当动点C运动时,cosC有最小值
(1)以AB所在直线为x轴,线段AB的中垂线为y轴建立直角坐标系,求曲线G的方程;
(2)过点(m,0)作圆x2+y2=1的切线l交曲线G于M,N两点,将线段MN的长|MN|表示为m的函数,并求|MN|的最大值。

查看答案和解析>>

同步练习册答案