精英家教网 > 高中数学 > 题目详情

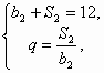
在等差数列{an}中,a1=3,其前n项和为Sn,等比数列{bn}的各项均为正数,b1=1,公比为q,且

(Ⅰ)求an与bn

(Ⅱ)设数列{cn}满足,求{cn}的前n项和Tn

答案:
解析:

  解:(Ⅰ)设的公差为

  因为所以

  解得(舍),

  故  8分

  (Ⅱ)因为

  所以  11分

  故  13分


练习册系列答案
相关习题

科目:高中数学 来源: 题型:

在等差数列{an}中,a1=-2010,其前n项的和为Sn.若
S2010
2010
-
S2008
2008
=2,则S2010=(  )

查看答案和解析>>

科目:高中数学 来源: 题型:

在等差数列{an}中,a1+3a8+a15=60,则2a9-a10的值为
12
12

查看答案和解析>>

科目:高中数学 来源: 题型:

已知在等差数列{an}中,d>0,a2008、a2009是方程x2-3x-5=0的两个根,那么使得前n项和Sn为负值的最大的n的值是(  )

查看答案和解析>>

科目:高中数学 来源: 题型:

在等差数列{an}中,已知a1=2,a2+a3=13,则a4+a5+a6等于=
42
42

查看答案和解析>>

科目:高中数学 来源: 题型:

在等差数列{an}中,若S4=1,S8=4,则a17+a18+a19+a20的值=
9
9

查看答案和解析>>

同步练习册答案