精英家教网 > 高中数学 > 题目详情
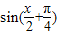
要得到函数的图象,只需将函数的图象( )
A.向左平移个单位长度
B.向右平移个单位长度
C.向左平移个单位长度
D.向右平移个单位长度
【答案】分析:先根据诱导公式进行化简,再由左加右减上加下减的原则可确定函数的路线,即可得到选项.
解答:解:==
只需将函数的图象,向左平移个单位长度得到函数=的图象.
故选A
点评:本题主要考查三角函数的平移.三角函数的平移原则为左加右减上加下减.注意诱导公式的应用.
练习册系列答案
相关习题

科目:高中数学 来源:2011年辽宁省大连八中高考数学模拟试卷(理科)(解析版) 题型:选择题

要得到函数的图象,只需将函数y=sin2x的图象( )
A.向左平移个单位
B.向右平移个单位
C.向左平移个单位
D.向右平移个单位

查看答案和解析>>

科目:高中数学 来源:2011-2012学年河北省高三第四次高考仿真测试文科数学试卷(解析版) 题型:填空题

要得到函数的图象,只需把函数的图象上所有的点向左平移__          个单位长度.

 

查看答案和解析>>

科目:高中数学 来源:2010-2011学年重庆西南师大附中高第一次月考理科数学卷 题型:选择题

要得到函数的图象,只需要把函数的图象(   )

A.向左平移2个单位                   B.向右平移2个单位

C.向左平移6个单位                   D.向右平移6个单位

 

查看答案和解析>>

科目:高中数学 来源:2013届广东省高二上学期期中理科数学试卷 题型:选择题

要得到函数的图象,只需将函数的图象  (  *  )

A.向左平移个单位         B.向右平移个单位

C.向右平移个单位         D.向左平移个单位

 

查看答案和解析>>

科目:高中数学 来源: 题型:

www.ks5u.com要得到函数的图象,只需将函数的图象(  )

A向左平移   B向右平移   C向左平移   D向右平移

查看答案和解析>>

同步练习册答案