某单位要在甲、乙、丙、丁4人中安排2人分别担任周六、周日的值班任务(每人被安排是等可能的,每天只安排一人).
(Ⅰ)共有多少种安排方法?
(Ⅱ)其中甲、乙两人都被安排的概率是多少?
(Ⅲ)甲、乙两人中至少有一人被安排的概率是多少?
【答案】
分析:(Ⅰ)由题意要在甲、乙、丙、丁4人中安排2人分别担任周六、周日的值班任务(每人被安排是等可能的,每天只安排一人)可用列举法列出所有基本事件数.
(II)甲、乙两人都被安排的情况有两种,即“甲乙”“乙甲”两种情况,由公式易求得概率;
(III)法1:“甲、乙两人中至少有一人被安排”与“甲、乙两人都不被安排”这两个事件是互斥事件,故可求“甲、乙两人都不被安排”的概率,再由概率的性质求出“甲、乙两人中至少有一人被安排”的概率;
法2:甲、乙两人中至少有一人被安排的情况包括:“甲乙,甲丙,甲丁,乙甲,乙丙,乙丁,丙甲,丙乙,丁甲,丁乙”共10种,由公式直接求得概率即可
解答:解:(Ⅰ)安排情况如下:
甲乙,甲丙,甲丁,乙甲,乙丙,乙丁,丙甲,丙乙,丙丁,丁甲,丁乙,丁丙∴共有12种安排方法. …(4分)
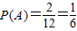
(Ⅱ)甲、乙两人都被安排的情况包括:“甲乙”,“乙甲”两种,∴甲、乙两人都被安排(记为事件A)的概率:

…(8分)
(Ⅲ)解法1:“甲、乙两人中至少有一人被安排”与“甲、乙两人都不被安排”这两个事件是互斥事件,∵甲、乙两人都不被安排的情况包括:“丙丁”,“丁丙”两种,
则“甲、乙两人都不被安排”的概率为

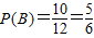
∴甲、乙两人中至少有一人被安排(记为事件B)的概率:

. …(12分)
解法2:甲、乙两人中至少有一人被安排的情况包括:
“甲乙,甲丙,甲丁,乙甲,乙丙,乙丁,丙甲,丙乙,丁甲,丁乙”共10种,∴甲、乙两人中至少有一人被安排(记为事件B)的概率:

. …(12分)
(注:如果有学生会排列概念,如下求解,(Ⅰ)A
42=12;(Ⅱ)

;(Ⅲ)

,给满分).
点评:本题考查等可能事件的概率,随机事件,概率的基本性质,解题的关键是理解题意,熟练利用列举法或计数原理得出总的基本事件数与所研究的事件包含的基本事件数,本题中的第三小题采用了两种解法,法一用的是间接法,由对立事件关系求概率,法二用的是直接法,列举出事件所包含的基本事件数,再利用公式求解,求概率的题,根据事件的类型选择恰当的方法可以大大简化解题过程.