已知椭圆C的中心在坐标原点,焦点在x轴上,椭圆C上的点到焦点距离的最大值为3,最小值为1.
(1)求椭圆C的标准方程;
(2)若直线l:y=kx+m与椭圆C相交于A,B两点(A,B不是左右顶点),且以AB为直径的图过椭圆C的右顶点.求证:直线l过定点,并求出该定点的坐标.
【答案】
分析:(1)由已知椭圆C上的点到焦点距离的最大值为3,最小值为1,可得:a+c=3,a-c=1,从而可求椭圆的标准方程;
(2)直线与椭圆方程联立,利用以AB为直径的圆过椭圆的右顶点D(2,0),结合根的判别式和根与系数的关系求解,即可求得结论.
解答:(1)解:由题意设椭圆的标准方程为

,
由已知椭圆C上的点到焦点距离的最大值为3,最小值为1,
可得:a+c=3,a-c=1,
∴a=2,c=1
∴b
2=a
2-c
2=3
∴椭圆的标准方程为

;
(2)证明:设A(x
1,y
1),B(x
2,y
2)
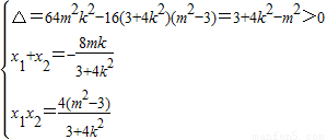
联立

,消去y可得(3+4k
2)x
2+8mkx+4(m
2-3)=0,
则

又

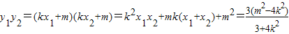
因为以AB为直径的圆过椭圆的右顶点D(2,0),∴k
ADk
BD=-1,即

∴y
1y
2+x
1x
2-2(x
1+x
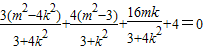
2)+4=0,∴

∴7m
2+16mk+4k
2=0
解得:

,且均满足3+4k
2-m
2>0
当m
1=-2k时,l的方程y=k(x-2),直线过点(2,0),与已知矛盾;
当

时,l的方程为

,直线过定点

所以,直线l过定点,定点坐标为
点评:本题考查椭圆的性质及应用,考查直线与椭圆的位置关系,考查韦达定理的运用,综合性强,属于中档题.