精英家教网 > 高中数学 > 题目详情
已知F1,F2分别是椭圆的左、右 焦点,已知点N满足,且且设A,B上半椭圆上满足的两点.
(1)求此椭圆的方程;
(2)若,求直线AB的斜率.
【答案】分析:(1)由,知,由此能求出椭圆方程.
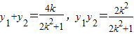
(2)由,知A,B,N三点共线,N(-2,0),设直线方程为y=k(x-2),k>0,由,得,由(k>0),解得.设A(x1,y1),B(x2,y2),则,由,知,由此能求出k.
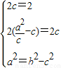
解答:解:(1)由于
,解得
∴椭圆方程为
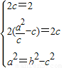
(2)∵,∴A,B,N三点共线,
而N(-2,0),设直线方程为y=k(x+2),k>0,
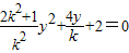
,得
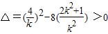
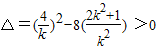
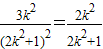
(k>0),解得
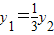
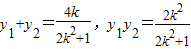
设A(x1,y1),B(x2,y2),则
,∴


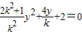
,消去y,得

解得k=或k=-(舍)
故k=
点评:本题主要考查直线与圆锥曲线的综合应用能力,具体涉及到轨迹方程的求法及直线与椭圆的相关知识,解题时要注意合理地进行等价转化.
练习册系列答案
相关习题

科目:高中数学 来源: 题型:

(2013•湖南)已知F1,F2分别是椭圆E:
x25
+y2=1
的左、右焦点F1,F2关于直线x+y-2=0的对称点是圆C的一条直径的两个端点.
(Ⅰ)求圆C的方程;
(Ⅱ)设过点F2的直线l被椭圆E和圆C所截得的弦长分别为a,b.当ab最大时,求直线l的方程.

查看答案和解析>>

科目:高中数学 来源: 题型:

(2013•青岛二模)已知F1、F2分别是双曲线C:
x2
a2
-
y2
b2
=1
(a>0,b>0)的左、右焦点,P为双曲线右支上的一点,
PF2
F1F2
,且|
PF1
|=
2
|
PF2
|
,则双曲线的离心率为(  )

查看答案和解析>>

科目:高中数学 来源: 题型:

已知F1,F2分别是双曲线
x2
a2
-
y2
b2
=1 (a>0, b>0)
的左、右焦点,过点F2与双曲线的一条渐近线平行的直线交双曲线另一条渐近线于点M,若点M在以线段F1F2为直径的圆外,则双曲线离心率的取值范围是(  )

查看答案和解析>>

科目:高中数学 来源: 题型:

如图,已知F1,F2分别是椭圆C:
x2
a2
+
y2
b2
=1(a>b>0)的左、右焦点,且椭圆C的离心率e=
1
2
,F1也是抛物线C1:y2=-4x的焦点.
(Ⅰ)求椭圆C的方程;
(Ⅱ)过点F2的直线l交椭圆C于D,E两点,且2
DF2
=
F2E
,点E关于x轴的对称点为G,求直线GD的方程.

查看答案和解析>>

科目:高中数学 来源: 题型:

已知F1,F2分别是双曲线
x2
a2
-
y2
b2
=1(a>0,b>0)
的左,右焦点,P是双曲线的上一点,若
PF1
PF2
=0
|
PF1
|•|
PF2
|=3ab
,则双曲线的离心率是
 

查看答案和解析>>

同步练习册答案