精英家教网 > 高中数学 > 题目详情
数列{an}的前n项和为Sn,Sn+an=-n+1(n∈N*
(Ⅰ)设bn=an+n,证明:数列{bn}是等比数列;
(Ⅱ)求数列{nbn}的前n项和Tn
(Ⅲ)若,dn=,P=d1+d2+d3+…+d2013,求不超过P的最大整数的值.
【答案】分析:(Ⅰ)因为Sn+an=-n+1(n∈N*),当n≥2时,Sn-1+an-1=-,两式相减得出2an-an-1=-n-1,即2(an+n)=a n-1+n-1,构造出bn=b n-1(n≥2),从而数列{bn}是等比数列;
(Ⅱ) 由(Ⅰ)得nbn=.利用错位相消法求和即可
(Ⅲ)由(Ⅰ)知∴cn=n,dn====1+=1+裂项求和法求得P=
不超过P的最大整数为2013.
解答:解:(Ⅰ) 因为Sn+an=-n+1(n∈N*
所以   ①当n=1时,2a1=-1,则a1=,….(1分)
②当n≥2时,Sn-1+an-1=-
,….(2分)
所以2an-an-1=-n-1,即2(an+n)=a n-1+n-1,
所以bn=b n-1(n≥2),而b1=a1+1=,….(3分)
所以数列数列{bn}是首项为,公比为的等比数列,所以bn=(n
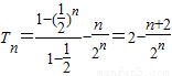
(Ⅱ)  由(Ⅰ)得nbn=
所以  ①
….(6分)
②-①得:….(7分)…(8分)
(Ⅲ)由(Ⅰ)知∴cn=n…(9分)
而dn====1+=1+

…(11分)
所以
故不超过P的最大整数为2013.…..(14分)
点评:本题考查数列通项公式求解,错位相消法求和,裂项法求和,转化计算能力.
练习册系列答案
相关习题

科目:高中数学 来源: 题型:

设等比数列{an}的公比q≠1,Sn表示数列{an}的前n项的和,Tn表示数列{an}的前n项的乘积,Tn(k)表示{an}的前n项中除去第k项后剩余的n-1项的乘积,即Tn(k)=
Tn
ak
(n,k∈N+,k≤n),则数列
SnTn
Tn(1)+Tn(2)+…+Tn(n)
的前n项的和是
a12
2-q-q-1
(n+nq-
q-qn+1+1-q1-n
1-q
a12
2-q-q-1
(n+nq-
q-qn+1+1-q1-n
1-q
(用a1和q表示)

查看答案和解析>>

科目:高中数学 来源: 题型:

若数列{an}的通项an=
1
pn-q
,实数p,q满足p>q>0且p>1,sn为数列{an}的前n项和.
(1)求证:当n≥2时,pan<an-1
(2)求证sn
p
(p-1)(p-q)
(1-
1
pn
)

(3)若an=
1
(2n-1)(2n+1-1)
,求证sn
2
3

查看答案和解析>>

科目:高中数学 来源: 题型:

已知Sn是数列{an}的前n项和,an>0,Sn=
a
2
n
+an
2
,n∈N*
(1)求证:{an}是等差数列;
(2)若数列{bn}满足b1=2,bn+1=2an+bn,求数列{bn}的通项公式bn

查看答案和解析>>

科目:高中数学 来源: 题型:

(2012•商丘二模)数列{an}的前n项和为Sn,若数列{an}的各项按如下规律排列:
1
2
1
3
2
3
1
4
2
4
3
4
1
5
2
5
3
5
4
5
…,
1
n
2
n
,…,
n-1
n
,…有如下运算和结论:
①a24=
3
8

②数列a1,a2+a3,a4+a5+a6,a7+a8+a9+a10,…是等比数列;
③数列a1,a2+a3,a4+a5+a6,a7+a8+a9+a10,…的前n项和为Tn=
n2+n
4

④若存在正整数k,使Sk<10,Sk+1≥10,则ak=
5
7

其中正确的结论是
①③④
①③④
.(将你认为正确的结论序号都填上)

查看答案和解析>>

科目:高中数学 来源: 题型:

给出下列命题:
①若数列{an}的前n项和Sn=2n+1,则数列{an}为等比数列;
②在△ABC中,如果A=60°,a=
6
,b=4
,那么满足条件的△ABC有两解;
③设函数f(x)=x|x-a|+b,则函数f(x)为奇函数的充要条件是a2+b2=0;
④设直线系M:xcosθ+(y-2)sinθ=1(0≤θ≤2π),则M中的直线所能围成的正三角形面积都相等.
其中真命题的序号是

查看答案和解析>>

同步练习册答案