精英家教网 > 高中数学 > 题目详情
已知f(x)是二次函数,若f(0)=0且f(x+1)-f(x)=x+1,求函数f(x)的解析式,并求出它在区间[-1,3]上的最大、最小值.
【答案】分析:由于f(0)=0,可设二次函数f(x)=ax2+bx(a≠0).利用f(x+1)-f(x)=x+1,可得a(x+1)2+b(x+1)-[ax2+bx]=x+1,
化为(2a-1)x+a+b-1=0.此式对于任意实数x恒成立,因此,解出即可.通过配方即可得出其单调性,进而得出最值.
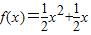
解答:解:∵f(0)=0,∴可设二次函数f(x)=ax2+bx(a≠0).
∵f(x+1)-f(x)=x+1,∴a(x+1)2+b(x+1)-[ax2+bx]=x+1,
化为(2a-1)x+a+b-1=0.
此式对于任意实数x恒成立,因此,解得


∴函数f(x)在区间上单调递减,在区间上单调递增.
∵f(-1)=0,,f(3)=6.
∴函数f(x)在区间[-1,3]上的最大、最小值分别为6,
点评:熟练掌握二次函数的单调性是解题的关键.
练习册系列答案
相关习题

科目:高中数学 来源: 题型:

已知二次函数f(x)=x2-2mx+1,若对于[0,1]上的任意三个实数a,b,c,函数值f(a),f(b),f(c)都能构成一个三角形的三边长,则满足条件的m的值可以是
(0<m<
2
2
内的任一实数)
(0<m<
2
2
内的任一实数)
.(写出一个即可)

查看答案和解析>>

科目:高中数学 来源: 题型:

已知二次函数f(x)=ax2+bx+c,且函数y=f(x+3)为偶函数,则在函数值f(-1)、f(2)、f(5)、f(7)中,最大的一个不可能是(  )

查看答案和解析>>

科目:高中数学 来源: 题型:填空题

已知二次函数f(x)=x2-2mx+1,若对于[0,1]上的任意三个实数a,b,c,函数值f(a),f(b),f(c)都能构成一个三角形的三边长,则满足条件的m的值可以是________.(写出一个即可)

查看答案和解析>>

科目:高中数学 来源:2009年浙江省温州市摇篮杯高一数学竞赛试卷(解析版) 题型:填空题

已知二次函数f(x)=x2-2mx+1,若对于[0,1]上的任意三个实数a,b,c,函数值f(a),f(b),f(c)都能构成一个三角形的三边长,则满足条件的m的值可以是    .(写出一个即可)

查看答案和解析>>

科目:高中数学 来源:2009-2010学年重庆外国语学校高一(上)期末数学试卷(解析版) 题型:选择题

已知二次函数f(x)=ax2+bx+c,且函数y=f(x+3)为偶函数,则在函数值f(-1)、f(2)、f(5)、f(7)中,最大的一个不可能是( )
A.f(-1)
B.f(2)
C.f(5)
D.f(7)

查看答案和解析>>

同步练习册答案