精英家教网 > 高中数学 > 题目详情

已知函数f(x)=In(1+x)-xx2(k≥0).

(Ⅰ)当k=2时,求曲线yf(x)在点(1,f(1))处的切线方程;

(Ⅱ)求f(x)的单调区间.

答案:
解析:

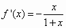
  解:(Ⅰ)当时,

  由于

  所以曲线在点处的切线方程为

  

  即

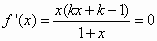
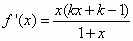
  (Ⅱ)

  当时,

  所以,在区间上,;在区间上,

  故得单调递增区间是,单调递减区间是

  当时,由,得

  所以,在区间上,;在区间上,

  故得单调递增区间是,单调递减区间是

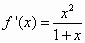
  当时,

  故得单调递增区间是

  当时,,得

  所以没在区间上,;在区间上,

  故得单调递增区间是,单调递减区间是


练习册系列答案
相关习题

科目:高中数学 来源:东北师大附中2007-2008学年度上学期高三年级第一次质量检测数学(理科) 题型:044

已知函数f(x)=x+,(x≠0).

(I)求f(x)的单调递减区间;

(II)当x∈[1,4]时,求f(x)的最大值和最小值.

查看答案和解析>>

科目:高中数学 来源:浙江省绍兴市2010年高三教学质量调测数学理科试题 题型:044

已知函数f(x)=(2-a)(x-1)-21nx,g(x)=xe1-x.(a∈R,e为自然对数的底数)

(Ⅰ)当a=1时,求f(x)的单调区间;

(Ⅱ)若函数f(x)在(0,)上无零点,求a的最小值;

(Ⅲ)若对任意给定的x0∈(0,e],在(0,e]上总存在两个不同的xi(i=1,2),使得f(xi)=g(x0)成立,求a的取值范围.

查看答案和解析>>

科目:高中数学 来源:2010-2011学年辽宁省丹东市四校协作体高三第二次联合考试理科数学卷 题型:解答题

(本小题满分12分)

已知函数f(x)=x-ln(x+a).(a是常数)

(I)求函数f(x)的单调区间;

(II) 当在x=1处取得极值时,若关于x的方程f(x)+2x=x2+b在[,2]上恰有两个不相等的实数根,求实数b的取值范围;

(III)求证:当

 

查看答案和解析>>

科目:高中数学 来源:2010-2011学年云南省高二下学期期末考试理科数学卷 题型:解答题

(本小题满分12分)

已知函数f(x)=x2(x-3a)+1 (a>0,x∈R).

(I)求函数yf(x)的极值;

(II)函数yf(x)在(0,2)上单调递减,求实数a的取值范围;

(III)若在区间(0,+∞)上存在实数x0,使得不等式f(x0)-4a3≤0能成立,求实数a的取值范围.

 

查看答案和解析>>

科目:高中数学 来源: 题型:

    已知函数f(x)=lnx-mx十m,mR.

    (I)求f(x)的单调区间;

    (II)若f(x)≤0。在x(0,+00)上恒成立,求实数m的取值范围.

(III)在(II)的条件下,任意的0<a<b,证明:

查看答案和解析>>

同步练习册答案