圆台的上下底面半径分别是2、3,其侧面面积等于两底面面积之和,求该圆台的体积.
【答案】
分析:求出圆台的上底面面积,下底面面积,写出侧面积表达式,利用侧面面积等于两底面面积之和,求出圆台的母线长,最后根据圆台的体积公式求出它的体积即可.
解答:解:设圆台的母线长为l,则
圆台的上底面面积为

圆台的下底面面积为

所以圆台的两底面面积之和为S=S
上+S
下=13π
又圆台的侧面积S
侧=π(2+3)l=5πl
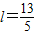
于是5πl=13π即

,
圆台的高为

,
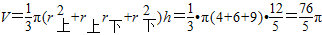
∴圆台的体积

.
点评:本题考查旋转体(圆柱、圆锥、圆台),棱柱、棱锥、棱台的侧面积和表面积,考查计算能力,是基础题.