精英家教网 > 高中数学 > 题目详情
已知函数f(x)=lnx+(x-a)2,a为常数.
(1)若当x=1时,f(x)取得极值,求a的值,并求出f(x)的单调增区间;
(2)若f(x)存在极值,求a的取值范围,并证明所有极值之和大于
【答案】分析:(1)求函数的定义域,利用导数研究函数的极值和单调区间.
(2)利用f(x)存在极值,求a的取值范围.
解答:解:(1)∵
∵x=1时,f(x)取得极值,f'(1)=0,3-2a=0,…(2分)
,f'(x)>0?2x2-3x+1>0(x>0)x>1或
f(x)的单调增区间为、(1,+∞)…(4分)
(2))∵,令f'(x)=0
则2x2-2ax+1=0在(0,+∞)上有解,但没有等根.△=4a2-8=4(a2-2)
时,△<0,则2x2-2ax+1>0恒成立,即f'(x)>0,f(x)在(0,+∞)上单调递增,f(x)无极值.
时,,方程的根时,f'(x)>0恒成立,f(x)在(0,+∞)上无极值.
同理当时,f(x)在(0,+∞)上无极值.
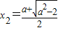
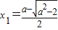
时,△>0,方程有二个解,且x1+x2=a,
时,x1+x2<0,x1x2>0,x1,x2均为负根
∴x∈(0,+∞)有f′(x)>0,
所以f(x)在(0,+∞)上单调递增.∴f(x)无极值点.
时x1+x2>0,x1•x2>0,∴x1•x2∈(0,+∞)
x(0,x1x1(x1,x2x2(x2,+∞)
f(x)+-+
f′(x)递增极大值递减极小值递增
∴f(x)在x1处有极大值,在x2处有极小值.
∴a的取值范围是…(8分)
=
∵x1≠x2,∴…(12分)
点评:本题主要考查利用导数研究函数的极值和最值,运算量较大.
练习册系列答案
相关习题

科目:高中数学 来源: 题型:

已知函数f(x)=2x-2+ae-x(a∈R)
(1)若曲线y=f(x)在点(1,f(1))处的切线平行于x轴,求a的值;
(2)当a=1时,若直线l:y=kx-2与曲线y=f(x)在(-∞,0)上有公共点,求k的取值范围.

查看答案和解析>>

科目:高中数学 来源: 题型:

已知函数f(x)=x2+2|lnx-1|.
(1)求函数y=f(x)的最小值;
(2)证明:对任意x∈[1,+∞),lnx≥
2(x-1)
x+1
恒成立;
(3)对于函数f(x)图象上的不同两点A(x1,y1),B(x2,y2)(x1<x2),如果在函数f(x)图象上存在点M(x0,y0)(其中x0∈(x1,x2))使得点M处的切线l∥AB,则称直线AB存在“伴侣切线”.特别地,当x0=
x1+x2
2
时,又称直线AB存在“中值伴侣切线”.试问:当x≥e时,对于函数f(x)图象上不同两点A、B,直线AB是否存在“中值伴侣切线”?证明你的结论.

查看答案和解析>>

科目:高中数学 来源: 题型:

已知函数f(x)=x2-bx的图象在点A(1,f(1))处的切线l与直线x+3y-1=0垂直,若数列{
1
f(n)
}的前n项和为Sn,则S2012的值为(  )

查看答案和解析>>

科目:高中数学 来源: 题型:

已知函数f(x)=xlnx
(Ⅰ)求函数f(x)的极值点;
(Ⅱ)若直线l过点(0,-1),并且与曲线y=f(x)相切,求直线l的方程.

查看答案和解析>>

科目:高中数学 来源: 题型:

已知函数f(x)=
3
x
a
+
3
(a-1)
x
,a≠0且a≠1.
(1)试就实数a的不同取值,写出该函数的单调增区间;
(2)已知当x>0时,函数在(0,
6
)上单调递减,在(
6
,+∞)上单调递增,求a的值并写出函数的解析式;
(3)记(2)中的函数图象为曲线C,试问是否存在经过原点的直线l,使得l为曲线C的对称轴?若存在,求出直线l的方程;若不存在,请说明理由.

查看答案和解析>>

同步练习册答案