【答案】
分析:(Ⅰ)确定函数的定义域为(0,+∞),求导函数,确定函数的单调性,即可求得函数f (x)的极值;
(Ⅱ)求导函数,并分解,再进行分类讨论,利用f′(x)<0,确定函数单调减区间;f′(x)>0,确定函数的单调增区间;
(Ⅲ)确定f(x)在[1,2]上单调递减,可得f(x)的最大值与最小值,进而利用分离参数法,可得

,从而可求实数m的取值范围.
解答:解:(Ⅰ)函数的定义域为(0,+∞).
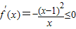
当a=1时,

.
令f′(x)=0,得x=1.
当0<x<1时,f′(x)<0;当x>1时,f′(x)>0.
∴f(x)
极小值=f(1)=1,无极大值…(4分)
(Ⅱ)

=

=

=

(5分)
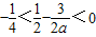
当

,即a=2时,

,f(x)在(0,+∞)上是减函数;
当

,即a>2时,令f′(x)<0,得

或x>1;令f′(x)>0,得

.
当

,即1<a<2时,令f′(x)<0,得0<x<1或

;令f′(x)>0,得

.(7分)
综上,当a=2时,f(x)在定义域上是减函数;
当a>2时,f(x)在

和(1,+∞)单调递减,在

上单调递增;
当1<a<2时,f(x)在(0,1)和

单调递减,在

上单调递增 (8分)
(Ⅲ)由(Ⅱ)知,当a∈(2,3)时,f(x)在[1,2]上单调递减,
∴当x=1时,f(x)有最大值,当x=2时,f(x)有最小值.
∴

∴ma+ln2>

(10分)
而a>0经整理得

由2<a<3得

,所以m≥0.(12分)
点评:本题考查导数知识的运用,考查函数的单调性,考查分类讨论的数学思想,考查恒成立问题,解题的关键是确定函数的最值,利用分离参数法求参数的范围.