精英家教网 > 高中数学 > 题目详情

已知一曲线是与两个定点O(0,0)、A(a,0)(a≠0)距离的比为k(k≠1)的点的轨迹,求此曲线的方程,并判断曲线的形状.

答案:略
解析:

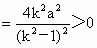
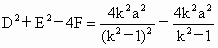
M(x7)是曲线上的任意一点,也就是M属于集合P={M|}.由两点间的距离公式,点M所适合的条件可以表示为,两边平方得,化简得

0A1k1,∴

∴所求曲线的方程是

故曲线是一个圆.


练习册系列答案
相关习题

科目:高中数学 来源:天利38套《2008全国各省市高考模拟试题汇编 精华大字版》、数学理 题型:044

已知两定点A(0,-1),C(0,2),动点M满足∠MCA=2∠MAC.

(Ⅰ)求动点M的轨迹Q的方程;

(Ⅱ)设曲线Q与y轴的交点为B,点E、F是曲线Q上两个不同的动点,且·=0,直线AE与BF交于点P(x0,y0),求证:为定值;

(Ⅲ)在第(Ⅱ)问的条件下,求证:过点和点E的直线是曲线Q的一条切线.

(Ⅳ)在第(Ⅱ)问的条件下,试问是否存在点E使得··(或||=||·||),若存在,求出此时点E的坐标;若不存在,说明理由.

查看答案和解析>>

科目:高中数学 来源: 题型:

已知两定点A(0,-1),C(0,2),动点M满足∠MCA=2∠MAC.

(Ⅰ)求动点M的轨迹Q的方程;

(Ⅱ)设曲线Q与y轴的交点为B,点B、F是曲线Q上两个不同的动点,且=0,直线AE与BF交于点P(x0,y0),求证:为定值;

(Ⅲ)在第(Ⅱ)问的条件下,求证:过点p′(0,y0)和点E的直线是曲线Q的一条切线.

(Ⅳ)在第(Ⅱ)问的条件下,试问是否存在点E使得(或),若存在,求出此时点E的坐标;若不存在,说明理由.

查看答案和解析>>

同步练习册答案