精英家教网 > 高中数学 > 题目详情
已知F1,F2是椭圆的两焦点,P为椭圆上一点,若∠F1PF2=60°,则离心率的最小值是   
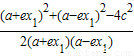
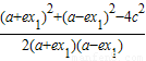
【答案】分析:先根据椭圆定义得到|PF1|=a+ex1,|PF2|=a-ex1,再利用余弦定理得到cos120°==,求出 x=,利用椭圆的范围列出不等式求出离心率的范围.
解答:解:设,P(x1,y1),F1(-c,0),F2(c,0),c>0,
则|PF1|=a+ex1,|PF2|=a-ex1
在△PF1F2中,由余弦定理得cos120°==
解得 x=,∵x12∈(0,a2],
∴0≤<a2
即4c2-a2≥0.且e2<1
∴e=
故椭圆离心率的取范围是 e∈[,1).
故答案为:
点评:本题主要考查了椭圆的应用.当P点在短轴的端点时∠F1PF2值最大,这个结论可以记住它.在做选择题和填空题的时候直接拿来解决这一类的问题.
练习册系列答案
相关习题

科目:高中数学 来源: 题型:

已知F1,F2是椭圆
x2
a2
+
y2
b2
=1(a>b>0)
的两个焦点,若在椭圆上存在一点P,使∠F1PF2=120°,则椭圆离心率的范围是
[
3
2
,1
[
3
2
,1

查看答案和解析>>

科目:高中数学 来源: 题型:

已知F1、F2是椭圆
y2
a2
+
x2
b2
=1(a>b>0)
的两个焦点,若椭圆上存在点P使得∠F1PF2=120°,求椭圆离心率的取值范围.

查看答案和解析>>

科目:高中数学 来源: 题型:

已知F1、F2是椭圆的两个焦点.△F1AB为等边三角形,A,B是椭圆上两点且AB过F2,则椭圆离心率是
3
3
3
3

查看答案和解析>>

科目:高中数学 来源: 题型:

已知 F1、F2是椭圆
x2
a2
+
y2
b2
=1(a>b>0)的两个焦点,椭圆上存在一点P,使得SF1PF2=
3
b2
,则该椭圆的离心率的取值范围是
[
3
2
,1)
[
3
2
,1)

查看答案和解析>>

科目:高中数学 来源: 题型:

已知F1,F2是椭圆
x2
2
+y2=1
的两个焦点,点P是椭圆上一个动点,那么|
PF1
+
PF2
|
的最小值是(  )

查看答案和解析>>

同步练习册答案