精英家教网 > 高中数学 > 题目详情
△ABC中,已知三个顶点的坐标分别是A(-6,0),B(6,0),C(6,5),
(1)求AC边上的高线BH所在的直线方程;
(2)求∠BCA的角平分线所在直线的方程.

【答案】分析:(1)由A(-6,0),C(6,5),知,由BH⊥AC,知kBH•kAC=-1,由此能求出高线BH所在的直线方程.
(2)设D(a,0),又直线AC的方程为:5x-12y+30=0,点D到直线AC的距离为,点D到直线BC的距离为|6-a|,由此能求出角平分线CD所在的直线方程.
解答:解:(1)∵A(-6,0),C(6,5),∴
∵BH⊥AC,∴kBH•kAC=-1,解得
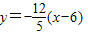
∴高线BH所在的直线方程是:,即12x+5y-72=0.
(2)设D(a,0),又直线AC的方程为:5x-12y+30=0,
点D到直线AC的距离为
点D到直线BC的距离为|6-a|,
,解得a=,或a=(舍),
故角平分线CD所在的直线方程为:3x-2y-8=0.
点评:本题考查直线方程的求法,解题时要认真审题,仔细解答,注意点到直线的距离公式的求法.
练习册系列答案
相关习题

科目:高中数学 来源: 题型:

△ABC中,已知三个顶点的坐标分别是A(-6,0),B(6,0),C(6,5),
(1)求AC边上的高线BH所在的直线方程;
(2)求∠ACB的角平分线所在直线的方程.

查看答案和解析>>

科目:高中数学 来源: 题型:

△ABC中,已知三个顶点的坐标分别是A(-6,0),B(6,0),C(6,5),
(1)求AC边上的高线BH所在的直线方程;
(2)求∠BCA的角平分线所在直线的方程.

查看答案和解析>>

科目:高中数学 来源: 题型:

在△ABC中,已知三个内角A、B、C的对边分别是a、b、c,向量
m
=(a,b),
n
=(cos(2π-B),sin(
π
2
+A)),若a≠b且
m
n

(Ⅰ)试求内角C的大小;
(Ⅱ)若a=6,b=8,△ABC的外接圆圆心为O,点P位于劣弧
AC
上,∠PAB=60°,求四边形ABCP的面积.

查看答案和解析>>

科目:高中数学 来源:2014届山东济宁市高二上学期期中考试文科数学试卷(解析版) 题型:解答题

(本小题满分12分)

△ABC中,已知三个顶点的坐标分别是A(,0),B(6,0),C(6,5),

(1)求AC边上的高线BH所在的直线方程;

(2)求的角平分线所在直线的方程。

 

查看答案和解析>>

科目:高中数学 来源:2011年浙江省杭州地区七校高二上学期期中联试题数学 题型:解答题

 

 (10分)△ABC中,已知三个顶点的坐标分别是A(,0),B(6,0),C(6,5),

(1)求AC边上的高线BH所在的直线方程;

(2)求的角平分线所在直线的方程。

 

 

 

查看答案和解析>>

同步练习册答案