精英家教网 > 高中数学 > 题目详情
函数f(x)是定义在[0,1]上的函数,满足,且f(1)=1,在每一个区间(i=1,2,3,…)上,y=f(x)的图象都是斜率为同一常数k的直线的一部分,记直线,x轴及函数y=f(x)的图象围成的梯形面积为an(n=1,2,3,…),则数列{an}的通项公式为   
【答案】分析:先根据f(0)=2f(0),求出f(0)及f(1)的值,归纳总结得f( )=,然后当 =所以{an}是首项为 ,公比为 的等比数列,从而求出an
解答:解:由f(0)=2f(0),得f(0)=0
及f(1)=1,得
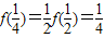
同理,
归纳得
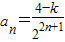
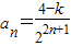
=
所以{an}是首项为 ,公比为 的等比数列

故答案为:
点评:本小题主要考查函数、数列等基本知识,考查分析问题和解决问题的能力,属于中档题,有一定的难度.
练习册系列答案
相关习题

科目:高中数学 来源: 题型:

已知函数f(x)是定义在R上的奇函数,其最小正周期为3,且x∈(-
3
2
,0)时
,f(x)=log2(-3x+1),则f(2011)=(  )
A、-2
B、2
C、4
D、log27

查看答案和解析>>

科目:高中数学 来源: 题型:

已知函数f(x)是定义在N*的函数,且满足f(f(k))=3k,f(1)=2,设an=f(3n-1),b1=1,bn-log3f(an)=b1-log3f(a1).
(I)求bn的表达式;
(II)求证:
b1
f(a1)
+
b2
f(a2) 
+…+
bn
f(an)
3
4

查看答案和解析>>

科目:高中数学 来源: 题型:

奇函数f(x)是定义在[-1,1]上的增函数,且f(x-1)+f(1-2x)<0,则实数x的取值范围为
(0,1]
(0,1]

查看答案和解析>>

科目:高中数学 来源: 题型:

(2008•临沂二模)已知函数f(x)是定义在[-e,0)∪(0,e]上的奇函数,当x∈[-e,0)时,f(x)=ax-ln(-x),(a<0,a∈R)
(I)求f(x)的解析式;
(Ⅱ)是否存在实数a,使得当x∈(0,e]时f(x)的最大值是-3,如果存在,求出实数a的值;如果不存在,请说明理由.

查看答案和解析>>

科目:高中数学 来源: 题型:

注:此题选A题考生做①②小题,选B题考生做①③小题.
已知函数f(x)是定义在R上的奇函数,且当x≥0时有f(x)=
4xx+4

①求f(x)的解析式;
②(选A题考生做)求f(x)的值域;
③(选B题考生做)若f(2m+1)+f(m2-2m-4)>0,求m的取值范围.

查看答案和解析>>

同步练习册答案