精英家教网 > 高中数学 > 题目详情
已知(a>0且a≠1).
(1)判断函数f(x)的奇偶性,并证明;
(2)若a>1,用单调性定义证明函数f(x)在区间(1,+∞)上单调递减;
(3)是否存在实数a,使得f(x)的定义域为[m,n]时,值域为[1-logan,1-logam],若存在,求出实数a的取值范围;若不存在,则说明理由.
【答案】分析:(1)根据对数函数的真数大于0建立不等式,解之即可求出函数的定义域,判定是否对称,然后根据函数奇偶性的定义进行判定即可;
(2)任取x1,x2∈(1,+∞),且x1<x2,然后比较真数的大小,从而得到f(x1)与f(x2)的大小,最后根据单调性的定义进行判定即可;
(3)假设存在实数a满足题目条件,然后根据函数在区间[m,n]上单调性建立等式关系,然后转化成方程x2+(1-a)x+a=0在区间(1,+∞)上有两个不同的实根,从而可求出a的取值范围.
解答:解:(1)由得:x<-1或x>1.
所以,函数f(x)的定义域为(-∞,-1)∪(1,+∞).
又∵
∴f(x)为奇函数.
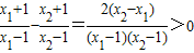
(2)任取x1,x2∈(1,+∞),且x1<x2,则x1-x2<0.
因为
所以,又因为a>1,所以
故f(x1)>f(x2),所以,函数f(x)在区间(1,+∞)上单调递减.
(3)假设存在实数a满足题目条件.
由题意得:m>0,n>0,又∵[m,n]⊆(-∞,-1)∪(1,+∞),
∴1<m<n
又∵1-logan>1-logam,
∴logam>logan,解得a>1.
由(2)得:函数f(x)在区间(1,+∞)上单调递减.
所以,函数f(x)在区间[m,n]上单调递减.
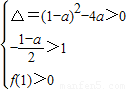
故,,所以
所以,∴m,n是方程x2+(1-a)x+a=0的两个不同的实根.
故,方程x2+(1-a)x+a=0在区间(1,+∞)上有两个不同的实根.
,解得:.又∵a>1,
所以,
所以,满足题目条件的实数a存在,实数a的取值范围是
点评:本题主要考查了函数奇偶性的判定,以及单调性的判定和奇偶性与单调性的综合应用,同时考查了转化的思想,属于中档题.
练习册系列答案
相关习题

科目:高中数学 来源: 题型:

已知双曲线an-1y2-anx2=an-1an的一个焦点(0,
cn
)
,一条渐近线方程为y=
2
x
,其中an是以4为首项的正项数列,数列cn的首项为6.
(Ⅰ)求数列Cn的通项公式;
(Ⅱ)若不等式
1
c1
+
2
c2
+…+
n
cn
+
n
3•2n
2
3
+loga(2x+1)(a>0且a≠1)
对一切自然数n恒成立,求实数x的取值范围.

查看答案和解析>>

科目:高中数学 来源: 题型:

已知复数z=
1+i
1-i
+(1-i)2(i
是虚数单位),b是z的虚部,且函数f(x)=loga(2x2-bx)(a>0且a≠1)在区间(0,
1
2
)内f(x)>0
恒成立,则函数f(x)的递增区间是
 

查看答案和解析>>

科目:高中数学 来源: 题型:

已知函数f(x)=kx,(k≠0)且满足f(x+1)•f(x)=x2+x,函数g(x)=ax,(a>0且a≠1).
(Ⅰ)求函数f(x)的解析式;
(Ⅱ)若函数f(x)为R上的增函数,h(x)=
f(x)+1
f(x)-1
(f(x)≠1)
,问是否存在实数m使得h(x)的定义域和值域都为[m,m+1]?若存在,求出m的值;若不存在,请说明理由;
(Ⅲ)已知关于x的方程g(2x+1)=f(x+1)•f(x)恰有一实数解为x0,且x0∈(
1
4
1
2
)
求实数a的取值范围.

查看答案和解析>>

科目:高中数学 来源: 题型:

已知常数a>0且a≠1,变数x、y满足 3logxa+logax-logxy=3
(1)若x=at(t≠0),试以a、t表示y.
(2)若t∈{t|t2-4t+3≤0}时,y有最小值8,求a和x的值.

查看答案和解析>>

科目:高中数学 来源: 题型:

已知实数a>0且a≠1,命题p:y=loga(2-ax)在区间[0,
12
]
上为减函数;命题q:方程ex-x+a-3=0在[0,1]有解.若p∨q为真,p∧q为假,求实数a的取值范围.

查看答案和解析>>

同步练习册答案