精英家教网 > 高中数学 > 题目详情
=( )
A.1
B.-1
C.
D.
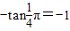
【答案】分析:利用诱导公式进行计算
解答:解:==
故选B
点评:本题主要考查了运用诱导公式的化简求值.在应用时一般将负角化为正角,大角化为小角进行求解.
练习册系列答案
相关习题

科目:高中数学 来源: 题型:

已知(x2-
1
x
n的展开式中第三项与第五项的系数之比为
3
14
,则展开式中常数项是(  )
A、-1B、1C、-45D、45

查看答案和解析>>

科目:高中数学 来源: 题型:

下面给出四个命题:(1)对于实数m和向量
a
b
恒有:m(
a
-
b
)=m
a
-m
b
;(2)对于实数m,n和向量
a
,恒有:(m-n)
a
=m
a
-n
a
;(3)若m
a
=m
b
(m∈R,m≠0),则
a
=
b
;(4)若m
a
=n
a
(m,n∈R),则m=n,其中正确命题的个数是(  )
A、1B、2C、3D、4

查看答案和解析>>

科目:高中数学 来源: 题型:

1+tan15°
1-tan15°
的值为(  )
A、1
B、
1
2
C、
3
D、
3
3

查看答案和解析>>

科目:高中数学 来源: 题型:

精英家教网在△ABC中,AB=2,AC=4,∠A=120°,D是BC的中点,则AD的长等于(  )
A、1
B、2
C、
2
D、
3

查看答案和解析>>

科目:高中数学 来源: 题型:

m+i
1-i
是纯虚数,则实数m的值为(  )
A、-1
B、0
C、1
D、
2

查看答案和解析>>

同步练习册答案