精英家教网 > 高中数学 > 题目详情
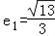
已知双曲线C1与椭圆C2有公共的焦点,并且双曲线的离心率e1与椭圆的离心率e2之比为,求双曲线C1的方程.
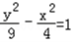
解:椭圆C2的焦点坐标为(0,),
∴C1的焦点坐标为(0,
椭圆C2离心率e2=
双曲线的离心率e1与椭圆的离心率e2之比为

设双曲线的方程为

解得a2=9,b2=4
∴双曲线的方程为
练习册系列答案
相关习题

科目:高中数学 来源: 题型:

(1)已知双曲线C1与椭圆C2
x2
36
+
y2
49
=1
有公共的焦点,并且双曲线的离心率e1与椭圆的离心率e2之比为
7
3
,求双曲线C1的方程.
(2)以抛物线y2=8x上的点M与定点A(6,0)为端点的线段MA的中点为P,求P点的轨迹方程.

查看答案和解析>>

科目:高中数学 来源: 题型:044

已知双曲线C1和椭圆C2有相同的焦点F1(c0)F2(c0)(c>0),两曲线在第一象限内的交点为P,椭圆C2y轴负方向交点为B,且PF2B三点共线,F2的比为12,又直线PB与双曲线C1的另一交点为Q(如图),若|F2Q|=,求双曲线C1,椭圆C2的方程。

 

查看答案和解析>>

科目:高中数学 来源:数学教研室 题型:044

已知双曲线C1和椭圆C2有相同的焦点F1(c0)F2(c0)(c>0),两曲线在第一象限内的交点为P,椭圆C2y轴负方向交点为B,且PF2B三点共线,F2的比为12,又直线PB与双曲线C1的另一交点为Q(如图),若|F2Q|=,求双曲线C1,椭圆C2的方程。

 

查看答案和解析>>

科目:高中数学 来源:不详 题型:解答题

(1)已知双曲线C1与椭圆C2
x2
36
+
y2
49
=1
有公共的焦点,并且双曲线的离心率e1与椭圆的离心率e2之比为
7
3
,求双曲线C1的方程.
(2)以抛物线y2=8x上的点M与定点A(6,0)为端点的线段MA的中点为P,求P点的轨迹方程.

查看答案和解析>>

同步练习册答案