精英家教网 > 高中数学 > 题目详情

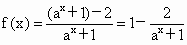
已知函数(a>0且a≠1).

(1)求f(x)的定义域和值域;

(2)讨论f(x)的单调性.

答案:略
解析:

(1)易得f(x)的定义域为R

,解得.①

,∴当且仅当时,方程①有解.

,得-1y1

f(x)的值域为{y|1y1}

(2)

①当a1时,∵为增函数,且

为减函数,从而为增函数.

0a1时,同理可得为减函数.


练习册系列答案
相关习题

科目:高中数学 来源: 题型:

已知函数f(x)=kx,(k≠0)且满足f(x+1)•f(x)=x2+x,函数g(x)=ax,(a>0且a≠1).
(Ⅰ)求函数f(x)的解析式;
(Ⅱ)若函数f(x)为R上的增函数,h(x)=
f(x)+1
f(x)-1
(f(x)≠1)
,问是否存在实数m使得h(x)的定义域和值域都为[m,m+1]?若存在,求出m的值;若不存在,请说明理由;
(Ⅲ)已知关于x的方程g(2x+1)=f(x+1)•f(x)恰有一实数解为x0,且x0∈(
1
4
1
2
)
求实数a的取值范围.

查看答案和解析>>

科目:高中数学 来源: 题型:013

(温州十校模拟)已知函数(a0a1)f(x)的反函数.若的图象过点(34),则a等于

[  ]

A

B

C

D2

查看答案和解析>>

科目:高中数学 来源: 题型:

已知函数(a>0且a≠1)在区间[-2,2]上的最大值不大于2,则函数g(a)=log2a的值域是                                                                          (  )

A.(-∞,-)∪(0,]

B.[-,0)∪(0,]

C.[-]

D.[-,0)∪[,+∞)

查看答案和解析>>

科目:高中数学 来源:2012-2013江苏省徐州市高一上学期期中考试数学试卷(解析版) 题型:解答题

已知函数 (a>0,且a≠1),=.

(1)函数的图象恒过定点A,求A点坐标;

(2)若函数的图像过点(2,),证明:函数(1,2)上有唯一的零点.

 

查看答案和解析>>

科目:高中数学 来源: 题型:

已知函数(a>0且a≠1)满足f(-2)>f(-3),则函数的单调增区间是                     

查看答案和解析>>

同步练习册答案