精英家教网 > 高中数学 > 题目详情

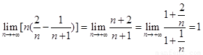
计算:=_________.

 

【答案】

1

【解析】

试题分析:这种极限可先把待求极限式变形,然后观察是哪种展开式的极限再选用相应的方法,

考点:“”型极限.

 

练习册系列答案
相关习题

科目:高中数学 来源: 题型:

计算:0.75-1×(
9
4
 
1
2
+
10
3
-2
+
300
+log28.

查看答案和解析>>

科目:高中数学 来源: 题型:

计算:(0.25)-2+8
2
3
-(
1
16
)-0.75
=
12
12

查看答案和解析>>

科目:高中数学 来源: 题型:

数列{an}满足Sn=2n-an(n∈N)
(Ⅰ)计算a1,a2,a3,a4
(Ⅱ)猜想通项公式an,并用数学归纳法证明.

查看答案和解析>>

科目:高中数学 来源: 题型:

计算下列定积分
0
-
π
2
(x+sinx)dx=
-1-
π2
8
-1-
π2
8

查看答案和解析>>

科目:高中数学 来源: 题型:

式子
a2
a
3a2
(a>0)
经过计算可得到(  )

查看答案和解析>>

同步练习册答案