精英家教网 > 高中数学 > 题目详情
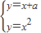
已知函数f(x)是定义在R上的偶函数,且对任意的x∈R,都有f(x+2)=f(x).当0≤x≤1时,f(x)=x2.若直线y=x+a与函数y=f(x)的图象在[0,2]内恰有两个不同的公共点,则实数a的值是( )
A.0
B.0或
C.
D.0或
【答案】分析:先作出函数f(x)在[0,2]上的图象,再分类讨论,通过数形结合与方程思想的应用即可解决问题.
解答:解:∵f(x)是定义在R上的偶函数,当0≤x≤1时,f(x)=x2
∴当-1≤x≤0时,0≤-x≤1,f(-x)=(-x)2=x2=f(x),
又f(x+2)=f(x),∴f(x)是周期为2的函数,
又直线y=x+a与函数y=f(x)的图象在[0,2]内恰有两个不同的公共点,其图象如下:

当a=0时,直线y=x+a变为直线l1,其方程为:y=x,显然,l1与函数y=f(x)的图象在[0,2]内恰有两个不同的公共点;
当a≠0时,直线y=x+a与函数y=f(x)的图象在[0,2]内恰有两个不同的公共点,由图可知,直线y=x+a与函数y=f(x)相切,切点的横坐标x∈[0,1].
得:x2-x-a=0,由△=1+4a=0得a=-,此时,x=x=∈[0,1].
综上所述,a=-或0
故选D.
点评:本题考查函数的周期性,函数的奇偶性与求方程的解,考查数形结合思想与方程思想的应用,属于中档题.
练习册系列答案
相关习题

科目:高中数学 来源: 题型:

已知函数f(x)=
2x+2-x
2
,g(x)=
2x-2-x
2

(1)计算:[f(1)]2-[g(1)]2
(2)证明:[f(x)]2-[g(x)]2是定值.

查看答案和解析>>

科目:高中数学 来源: 题型:

精英家教网已知函数f(x)=x+
a
x
的定义域为(0,+∞),且f(2)=2+
2
2
.设点P是函数图象上的任意一点,过点P分别作直线y=x和y轴的垂线,垂足分别为M、N.
(1)求a的值.
(2)问:|PM|•|PN|是否为定值?若是,则求出该定值;若不是,请说明理由.
(3)设O为坐标原点,求四边形OMPN面积的最小值.

查看答案和解析>>

科目:高中数学 来源: 题型:

已知函数f(x)=log3
3
x
1-x
,M(x1y1),N(x2y2)
是f(x)图象上的两点,横坐标为
1
2
的点P满足2
OP
=
OM
+
ON
(O为坐标原点).
(Ⅰ)求证:y1+y2为定值;
(Ⅱ)若Sn=f(
1
n
)+f(
2
n
)+…+f(
n-1
n
)
,其中n∈N*,且n≥2,求Sn
(Ⅲ)已知an=
1
6
,                          n=1
1
4(Sn+1)(Sn+1+1)
,n≥2
,其中n∈N*,Tn为数列{an}的前n项和,若Tn<m(Sn+1+1)对一切n∈N*都成立,试求m的取值范围.

查看答案和解析>>

科目:高中数学 来源: 题型:

已知函数f(x)=log3
3
x
1-x
,M(x1,y1),N(x2,y2)是f(x)图象上的两点,且x1+x2=1.
(1)求证:y1+y2为定值;
(2)若Sn=f(
1
n
)+f(
2
n
)+…+f(
n-1
n
)(n∈N*,N≥2),求Sn
(3)在(2)的条件下,若an=
1
6
 ,n=1
1
4(Sn+1)(Sn+1+1)
,n≥2
(n∈N*),Tn为数列{an}的前n项和.求Tn

查看答案和解析>>

科目:高中数学 来源: 题型:

已知函数f(x)=sin(2x-
π
6
),g(x)=sin(2x+
π
3
),直线y=m与两个相邻函数的交点为A,B,若m变化时,AB的长度是一个定值,则AB的值是(  )

查看答案和解析>>

同步练习册答案