精英家教网 > 高中数学 > 题目详情
已知函数
(1)求证:不论a为何实数f(x)总是为增函数;
(2)确定a的值,使f(x)为奇函数.
【答案】分析:(1)先设x1<x2,欲证明不论a为何实数f(x)总是为增函数,只须证明:f(x1)-f(x2)<0,即可;
(2)根据f(x)为奇函数,利用定义得出f(-x)=-f(x),从而求得a值即可.
解答:解:(1)∵f(x)的定义域为R,
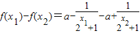
设x1<x2
=(4分)
∵x1<x2,∴
∴f(x1)-f(x2)<0,(6分)
即f(x1)<f(x2),所以不论a为何实数f(x)总为增函数.(7分)
(2)∵f(x)为奇函数,∴f(-x)=-f(x),

解得:.∴.(12分)
点评:本小题主要考查函数单调性的应用、函数奇偶性的应用等基础知识,考查运算求解能力与化归与转化思想.属于基础题.
练习册系列答案
相关习题

科目:高中数学 来源:2013-2014学年安徽省合肥市高三第一次教学质量检测文科数学试卷(解析版) 题型:解答题

已知函数

1求证:时,恒成立;

2时,求的单调区间

 

查看答案和解析>>

科目:高中数学 来源:2014届云南省高二下学期期末考试文科数学试卷(解析版) 题型:解答题

已知函数

(1)求证:

(2)解不等式

 

查看答案和解析>>

科目:高中数学 来源:2012-2013学年宁夏高三第五次月考理科数学试卷(解析版) 题型:解答题

(本小题满分l0分)选修4—5:不等式选讲

已知函数

(1)求证:

(2)解不等式.

 

查看答案和解析>>

科目:高中数学 来源:2011-2012学年江西吉安宁冈中学高三下学期第一次月考文科数学试卷(解析版) 题型:解答题

已知函数

(1)求证函数在区间上存在唯一的极值点,并用二分法求函数取得极值时相应的近似值(误差不超过);(参考数据

(2)当时,若关于的不等式恒成立,试求实数的取值范围.

 

查看答案和解析>>

科目:高中数学 来源:2010-2011学年江西省鹰潭市高三第二次模拟考试理科数学卷 题型:解答题

已知函数

(1)求证函数在区间上存在唯一的极值点,并用二分法求函数取得极值时相应的近似值(误差不超过);(参考数据

(2)当时,若关于的不等式恒成立,试求实数的取值范围.

 

 

查看答案和解析>>

同步练习册答案